Курсовая: Программирование на VBA для Excel — макросы и таблицы
Ответы к заданиям: Программирование на VBA в Excel: вычисления, ветвления и таблицы
Расчетно-графическая работа. Тема: "Программирование на Visual basic for application"
Общее задание:
Составить блок-схемы и программы на языке BASIC.
I. Задания на вычисление значений функций
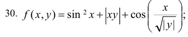
Задание 1.1. Вычислить значения функций:
Задание 1.2. Вычислить выражение:
II. Задание на программу ветвящейся структуры
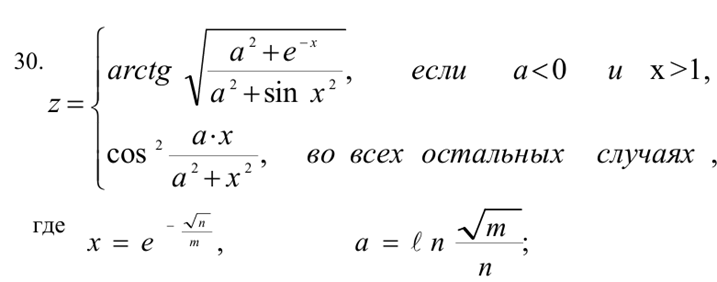
Задание 2. Вычислить значения функций:
III. Задания на программы циклической структуры
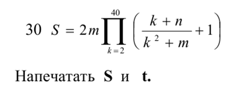
Задание 3.1. Вычислить значение функции:
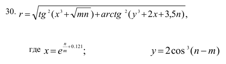
Задание 3.2. Составить таблицы значений функций y при изменении значений переменной x с шагом h.
Задание 3.3. Составить таблицу значений функции z = f(x; y) при изменении переменной x на отрезке [a; b] с шагом h, с переменной y на отрезке [c; d] c шагом l.
Показать/скрыть дополнительное описание
Общее задание:
Составить блок-схемы и программы на языке BASIC.
I. Задания на вычисление значений функций
Задание 1.1. Вычислить значения функций:
Задание 1.2. Вычислить выражение:
II. Задание на программу ветвящейся структуры Задание 2. Вычислить значения функций:
III. Задания на программы циклической структуры Задание 3.1. Вычислить значение функции:
Задание 3.2. Составить таблицы значений функций y при изменении значений переменной x с шагом h.
Задание 3.3. Составить таблицу значений функции z = f(x; y) при изменении переменной x на отрезке [a; b] с шагом h, с переменной y на отрезке [c; d] c шагом l.
Показать/скрыть дополнительное описаниеНабор рабочих макросов на VBA для автоматизации математических вычислений в Excel: примеры с Exp, Log, Sin, Cos, цикл For, динамические массивы и вывод таблиц на новый лист. Подойдет студентам прикладной математики и программирования..
Характеристики ответов (шпаргалок) к заданиям
Предмет
Учебное заведение
Семестр
Просмотров
1
Размер
191,39 Kb
Список файлов
Задание.docx
🎓 Никольский - Помощь студентам 📚 Любые виды работ: тесты, сессии под ключ, практики, курсовые и дипломные с гарантией результата ✅ Все услуги под ключ ✅ Знаем все тонкости именно вашего ВУЗа ✅ Сдадим или вернем деньги
Комментарии
Нет комментариев
Стань первым, кто что-нибудь напишет!
ТГУ
nikolskypomosh












