Задача по VBA: макросы для вычислений и генерации таблиц
Ответы к заданиям: Программирование на Visual Basic for Applications: практические упражнения
Расчетно-графическая работа. Тема: "Программирование на Visual basic for application"
Общее задание:
Составить блок-схемы и программы на языке BASIC.
I. Задания на вычисление значений функций
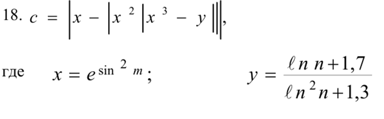
Задание 1.1. Вычислить значения функций:
Задание 1.2. Вычислить выражение:
II. Задание на программу ветвящейся структуры
Задание 2. Вычислить значения функций:
III. Задания на программы циклической структуры
Задание 3.1.
Задание 3.2. Составить таблицы значений функций y при изменении значений переменной x с шагом h.
Задание 3.3. Составить таблицу значений функции z = f(x; y) при изменении переменной x на отрезке [a; b] с шагом h, с переменной y на отрезке [c; d] c шагом l.
Показать/скрыть дополнительное описание
Общее задание:
Составить блок-схемы и программы на языке BASIC.
I. Задания на вычисление значений функций
Задание 1.1. Вычислить значения функций:
Задание 1.2. Вычислить выражение:
II. Задание на программу ветвящейся структуры
Задание 2. Вычислить значения функций:
III. Задания на программы циклической структуры
Задание 3.1.
Задание 3.2. Составить таблицы значений функций y при изменении значений переменной x с шагом h.
Задание 3.3. Составить таблицу значений функции z = f(x; y) при изменении переменной x на отрезке [a; b] с шагом h, с переменной y на отрезке [c; d] c шагом l.
Показать/скрыть дополнительное описаниеПрактические VBA-макросы для Excel: вычисление функций, ветвления, циклические вычисления и формирование таблиц. Подходит студентам прикладной математики и технических направлений для выполнения лабораторных и домашних заданий..
Характеристики ответов (шпаргалок) к заданиям
Предмет
Учебное заведение
Семестр
Просмотров
1
Размер
169,4 Kb
Список файлов
Задача.docx
🎓 Никольский - Помощь студентам 📚 Любые виды работ: тесты, сессии под ключ, практики, курсовые и дипломные с гарантией результата ✅ Все услуги под ключ ✅ Знаем все тонкости именно вашего ВУЗа ✅ Сдадим или вернем деньги
Комментарии
Нет комментариев
Стань первым, кто что-нибудь напишет!
ТГУ
nikolskypomosh













