Для студентов НИУ «МЭИ» по предмету Программирование и алгоритмизацияГотовый семинар 1, вариант 7Готовый семинар 1, вариант 7
2020-08-302020-08-30СтудИзба
ДЗ: Готовый семинар 1, вариант 7
Бестселлер
Описание
Задача 1:
К началу октября на овощном складе хранилось А т овощей. Ежемесячно должно изыматься В т для продажи. Естественная ежемесячная убыль предполагается постоянной и равной р %. Определить, на сколько месяцев хватит запаса овощей. Вычисления досрочно прекратить после рассмотрения десятого месяца хранения (июля).

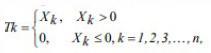
Получить вектор T по правилу:

а также подсчитать число нулей в полученном векторе T.

Дана матрица А из n строк и m столбцов. Способ задания n и m определяется средой программирования и указаниями преподавателя. Матрицу A необходимо вводить и выводить (если ее элементы были изменены) построчно.
Определить число отрицательных и число положительных элементов матрицы.

Характеристики домашнего задания
Учебное заведение
Семестр
Просмотров
322
Качество
Идеальное компьютерное
Размер
156,37 Kb
Список файлов

Зарабатывай на студизбе! Просто выкладывай то, что так и так делаешь для своей учёбы: ДЗ, шпаргалки, решённые задачи и всё, что тебе пригодилось.
Начать зарабатывать
Начать зарабатывать
Комментарии

Отзыв
Две блок схемы не видны.

Отзыв
блок-схема 2 и 3 задания не видны