Для студентов МГТУ им. Н.Э.Баумана по предмету Практика расчётов на ПЭВМЛабораторные работы 1-11Лабораторные работы 1-11
5,0052
2020-06-092020-06-09СтудИзба
Лабораторная работа: Лабораторные работы 1-11
Описание
Лабораторные работы в среде Matlab
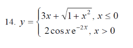
ЛР№1:
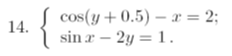
ЛР№2
ЛР№3
ЛР№4
ЛР№5
ЛР№6
ЛР№7
ЛР№11
ЛР№1:
ЛР№2
ЛР№3
ЛР№4
ЛР№5
ЛР№6
ЛР№7 14. Минимальный элемент в каждом из столбцов матрицы заменить нулевым значением.
ЛР№814. Из пяти последних отрицательных элементов одномерного массива
сформировать новый массив.
ЛР№914. В одномерном массиве найти номер третьего нулевого элемента, рас-
положенного за максимальным элементом.
ЛР№101. Построить Simulink-модель уравнения и сравнить решение с решением fsolve, полученным в командном окне для выбранных значений

2. Построить Simulink-модель уравнения и сравнить решение с решением fsolve, полученным в командном окне для выбранных значений

ЛР№11 Ознакомиться с интерфейсом Guide среды Matlab и создать приложение.
Характеристики лабораторной работы
Предмет
Учебное заведение
Семестр
Просмотров
138
Размер
7,19 Mb
Список файлов
Лаб_01 АК4-41 №14.docx
Лаб_02 АК4-41 №14.docx
Лаб_03 АК4-41 №14.docx
Лаб_04 АК4-41 №14.docx
Лаб_05 АК4-41 №14.docx
Лаб_06 АК4-41 №14.docx
Лаб_07 АК4-41 №14.docx
Лаб_08 АК4-41 №14.docx
Лаб_09 АК4-41 №14.docx
Лаб_10 АК4-41 №14.docx
Лаб_11 АК4-41.docx
Комментарии
Нет комментариев
Стань первым, кто что-нибудь напишет!
МГТУ им. Н.Э.Баумана


















