Для студентов ОГУ по предмету Переходные процессыОТЧЕТ по практической работе по дисциплине: «Переходные процессы в электроэнергетических системах» ОТЧЕТ по практической работе по дисциплине: «Переходные процессы в электроэнергетических системах»
5,0053319
2022-08-192022-08-19СтудИзба
ДЗ: ОТЧЕТ по практической работе по дисциплине: «Переходные процессы в электроэнергетических системах»
Описание
Практическое занятие № 1 Тема: «Угловые характеристики одномашинной системы, работающей на шины бесконечной мощности. Статическая устойчивость нерегулируемой системы при нагрузке, заданной постоянным сопротивлением или статическими характеристиками» Задача 1-1. На рис. 1-1 приведена схема электрической системы, содержащая две генераторные станции, питающие комплексную нагрузку. Требуется: 1) определить коэффициент запаса статической устойчивости по идеальному пределу мощности; 2) построить угловую характеристику активной мощности передающей станции и определить коэффициент запаса статической устойчивости по действительному пределу мощности, представив нагрузку постоянным комплексным сопротивлением; 3) определить коэффициент запаса статической устойчивости по действительному пределу мощности, представив нагрузку статическими характеристиками.
Практическое занятие № 2 Тема: «Расчет статической устойчивости узла нагрузки, в том числе заданной эквивалентным асинхронным двигателем» Задача 2-1. Основная часть расчетной схемы (рис.2-1), исходный режим и параметры элементов электропередачи повторяют данные задачи 1. Отличием является то, что вместо станции Γ2 введена приемная система, которая представлена как система неограниченной мощности. При этом нагрузка задана статическими характеристиками.
Требуется: проверить устойчивость нагрузки, построив зависимости после отключения выключателя В при условии:
а) на генераторе отсутствует АРВ;
б) на генераторе установлено АРВ пропорционального действия.
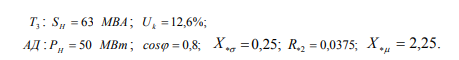
Задача 2-2. Схема системы аналогична схеме задачи 2-1. Исходный режим и параметры элементов системы полностью повторяют данные задачи 2-1. Исключение составляет нагрузка, которая представлена в виде эквивалентного асинхронного двигателя АД (рис. 2-7). Параметры новых элементов расчетной схемы:
Требуется: а) найти критическое напряжение на шинах подстанции, при котором произойдет опрокидывание эквивалентного АД; определить запас устойчивости по мощности и скольжению. Принять, что выключатель B включен; б) определить, будет ли устойчиво работать эквивалентный АД после разделения системы (выключатель В отключен), проверив устойчивость по критерию

Практическое занятие № 2 Тема: «Расчет статической устойчивости узла нагрузки, в том числе заданной эквивалентным асинхронным двигателем» Задача 2-1. Основная часть расчетной схемы (рис.2-1), исходный режим и параметры элементов электропередачи повторяют данные задачи 1. Отличием является то, что вместо станции Γ2 введена приемная система, которая представлена как система неограниченной мощности. При этом нагрузка задана статическими характеристиками.

Требуется: проверить устойчивость нагрузки, построив зависимости после отключения выключателя В при условии:
а) на генераторе отсутствует АРВ;
б) на генераторе установлено АРВ пропорционального действия.
Задача 2-2. Схема системы аналогична схеме задачи 2-1. Исходный режим и параметры элементов системы полностью повторяют данные задачи 2-1. Исключение составляет нагрузка, которая представлена в виде эквивалентного асинхронного двигателя АД (рис. 2-7). Параметры новых элементов расчетной схемы:

Характеристики домашнего задания
Предмет
Учебное заведение
Просмотров
2
Размер
264,92 Kb
Список файлов
zaniatiia_10206447.pdf

Если нужен другой вариант работы или отдельная задача из любой работы, пишите в комментарии