Для студентов МФПУ «Синергия» по предмету Основы трансформации теплотыОсновы трансформации теплоты Итоговый, компетентностный тестОсновы трансформации теплоты Итоговый, компетентностный тест
4,99521280
2025-05-252025-05-25СтудИзба
📚 Коллекция ответов по предмету Основы трансформации теплоты в Синергии – большая база! 💯
Ответы к заданиям Итоговый: Основы трансформации теплоты Итоговый, компетентностный тест
Описание
Крупная база ответов к предмету🔥 Основы трансформации теплоты 🔥
С помощью данной коллекции вы 100% сдадите ЛЮБОЙ тест.
▶️ Готовые практики / Готовые базы ответов / Отдельные ответы ◀️
➡️ Любой тест / Любая практика / Любая НИР ⬅️
🗝️ Сессия под ключ 🗝️
(жми на нужную ссылку! 😉 )
С помощью данной коллекции вы 100% сдадите ЛЮБОЙ тест.
▶️ Готовые практики / Готовые базы ответов / Отдельные ответы ◀️
➡️ Любой тест / Любая практика / Любая НИР ⬅️
🗝️ Сессия под ключ 🗝️
(жми на нужную ссылку! 😉 )
- Итоговая аттестация
- Итоговый тест
- Компетентностный тест
- Заключение
Список вопросов
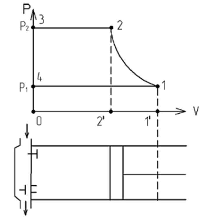
Как называется эффективность одного из циклов Карно, определяемого выражением ? ![]()

Как называется эффективность одного из циклов Карно, определяемого выражением? ![]()

Выражение L = P1 • V1 для поршневого компрессора называется работой ...
Трансформаторами тепла называются системы, в которых осуществляется …
До середины прошлого столетия единственными источниками охлаждения были...
Появление получения искусственного холода путем трансформации тепла коренным образом изменило...
На какие два вида можно разделить установки для трансформации тепла по принципу работы…
Пельтье - это ...
... утверждает, что теплота не может самопроизвольно переходить от тела, менее нагретого, к телу более нагретому.
... утверждает, что изолированная термодинамическая система с течением времени самопроизвольно переходит в состояние термодинамического равновесия и остаётся в нём сколь угодно долго, если внешние условия сохраняются неизменными.
Мера превратимости энергии системы это ...
Первое начало (первый закон) термодинамики...
Теплопередача конвекцией возможна в …
Процесс передачи энергии от одного тела к другому называется ...
Какие рабочие тела холодильных машин наиболее токсичны ...
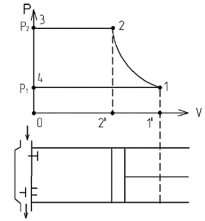
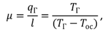
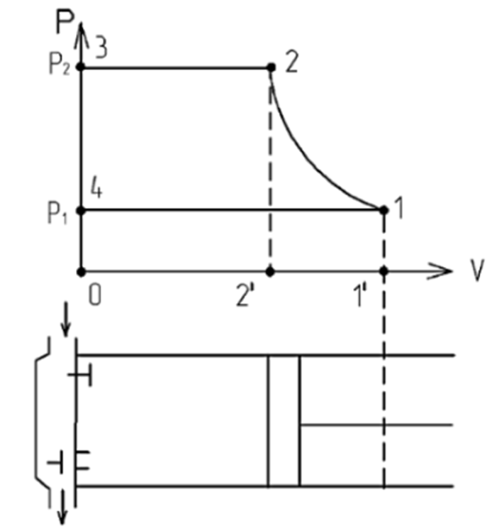
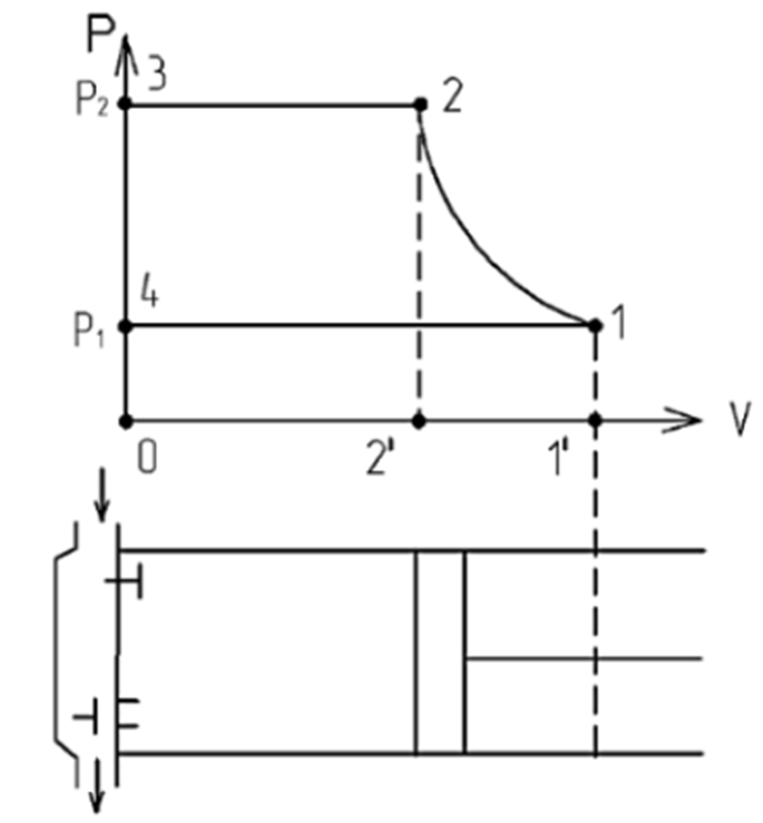
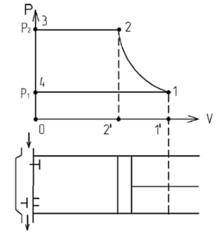
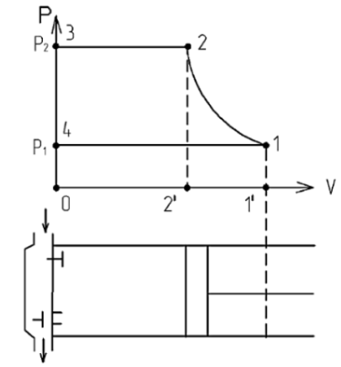
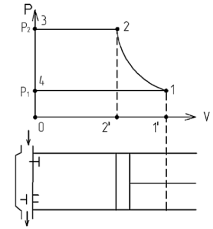
Площадь какого прямоугольника на диаграмме поршневого компрессора соответствует работе сжатия?
Идеальным циклом компрессионных трансформаторов тепла при постоянных температурах теплоприёмника и теплоотдатчика является ...
Хладагент NH3 широко применяется в … установках
Объемная производительность поршневых компрессоров ограничена...
Уравнение dQ = dU + dL, отражает ...
Характеристики ответов (шпаргалок) к заданиям
Тип
Коллекция: Ответы (шпаргалки) к заданиям
Предмет
Учебное заведение
Номер задания
Программы
Просмотров
3
Качество
Идеальное компьютерное
Количество вопросов


Гарантия сдачи без лишних хлопот! ✅🎓 Ответы на тесты по любым дисциплинам, базы вопросов, работы и услуги для Синергии, МЭИ и других вузов – всё уже готово! 🚀 🎯📚 Гарантия качества – или возврат денег! 💰✅