Для студентов ТулГУ по предмету Насосы, вентиляторы, компрессоры и гидравлика систем ТГВНасосы, вентиляторы, компрессоры и гидравлика систем ТГВНасосы, вентиляторы, компрессоры и гидравлика систем ТГВ
5,0055952
2025-09-182025-09-18СтудИзба
☀️Насосы, вентиляторы, компрессоры и гидравлика систем ТГВ | ТулГУ сборник ответов на все тесты☀️
Ответы к заданиям Ответы на тесты: Насосы, вентиляторы, компрессоры и гидравлика систем ТГВ
-43%
Описание
▶️ Ответы на все тесты (жми на текст) 😎 ◀️
▶️ Готовые лабораторные работы, практические задания, услуги (жми на текст)🔥◀️
Ответы к дисциплине Насосы, вентиляторы, компрессоры и гидравлика систем ТГВ для ТулГУ, помогут при сдаче экзамена/итоговой аттестации или зачёта :)
Для поиска нужного вопроса, воспользуйтесь поиском ниже
‼️ Ответы могут подойти к другим похожим дисциплинам, проверяйте по вопросам‼️Показать/скрыть дополнительное описание
▶️ Готовые лабораторные работы, практические задания, услуги (жми на текст)🔥◀️
Ответы к дисциплине Насосы, вентиляторы, компрессоры и гидравлика систем ТГВ для ТулГУ, помогут при сдаче экзамена/итоговой аттестации или зачёта :)
Для поиска нужного вопроса, воспользуйтесь поиском ниже
‼️ Ответы могут подойти к другим похожим дисциплинам, проверяйте по вопросам‼️Показать/скрыть дополнительное описание
Насосы, вентиляторы, компрессоры и гидравлика систем ТГВ ТулГУ ответы на тест зачёт экзамен итоговая аттестация.
Список вопросов
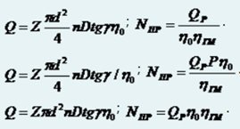
Аксиально-поршневой гидронасос с наклонной шайбой имеет Z поршней диаметром d , центры которых расположены на окружности диаметром D. Угол наклона шайбы составляет g, частота вращения ротора n, давление на выходе насоса Р, объемный КПД h0, гидромеханический КПД hгм. По каким зависимостям определяется подача насоса Q и мощность Nпр, подводимая к насосу.
![]()

Будет ли давление в месте сужения струи в цилиндрическом насадке отличаться от атмосферного?
Дайте определение “Гидромеханики”?
Дайте определение гидропривода?
Деление гидромашин по принципу действия.
Допускаемые скорости движения рабочей жидкости в сливной, напорной и всасывающей гидролиниях составляют соответственно 1,5 м/с, 5 м/с и 0,5 м/с. Расположите гидролинии в порядке возрастания их диаметров, при условии, что расход жидкости во всех гидролиниях одинаков.
За счёт чего в гидродинамической передачи объёмного гидропривода передаётся энергия?
За счёт чего в объёмной передачи осуществляется передача энергии от одного звена к другому?
Запишите уравнение Бернулли для сечения элементарной струйки идеальной жидкости.
К какой группе относятся плунжерные гидроцилиндры:
К поршневому гидроцилиндру диаметром D c односторонним штоком диаметром d в штоковую полость подводится жидкость в количестве Q давлением Р. Определите скорость движения поршня n и усилие на штоке F , если известен объемный КПД h0 и механический КПД hм?
![]()

Как формулируется основное уравнение равновесия жидкости, находящейся под действием тяжести.
Какие клапаны являются регуляторами давления?
Какие существуют гидравлические распределители?
Каким образом изменяется число Рейнольдса в зависимости от скорости движения жидкости, диаметра трубопровода и вязкости жидкости?
Каковы единицы измерения коэффициентов динамической и кинематической вязкости жидкостей в международной системе измерения (СИ)?
Какое из этих качеств соответствует свойствам объемного гидропривода с рабочей жидкостью на основе минерального масла.
Какой вид энергии, выраженный в виде напора, расходуется на преодоление гидравлических сопротивлений при движении жидкости в напорном горизонтальном трубопроводе?
Назначение гидрораспределителя?
Назовите основные элементы роторного аксиально-поршневого насоса с наклонным диском (см. рис.)?
![]()

Найти расход воды, вытекающей через внешний цилиндрический насадок диаметром d=100 мм, при напоре H₀=4.21 мм.
Определение механической характеристики гидромотора?
Определение скоростной характеристики гидромотора?
Определите полезную N и подводимую NПОД мощности пластинчатого гидронасоса однократного действия, если давление на выхода насоса Р=2 МПа, радиус статора R=0,035 м, число пластин Z=7, толщина пластин d=0,002 м, ширина пластин b=0,025 м, эксцентриситет е=0,002 м, частот вращения ротора 20 с-1, объемный КПД h0=0,65 , полный КПД насоса h=0,055.
Определить величину вакуума во внешнем цилиндрическом насадке, через который жидкость вытекает в атмосферу, если напор над центром тяжести насадка составляет величину H₀=6,0 м, φ₀=0,82, ε= 0,64.
Определить высоту установке оси центробежного насоса над уровнем воды в колодце hH, если вакуум в насосе Pвак/γ = 4,5 м. вод. ст. (рис.102). Диаметр трубы d = 150 мм, длинна трубы l = 15,0 м, расход воды, перекачиваемой насосом, Q = 16 л/с. При этом по соответствующим таблицам установлены следующие коэффициенты местных сопротивлений: для сетки с обратным клапаном – ξ = 6,0, для поворота ξзакр = 0,20. Известен также коэффициент сопротивления по длине λ = 0,03. α₁ = α₂ = 1.
![]()

Определить крутящий момент М и полезную мощность N радиально-поршневого гидромотора, рабочий объем которого составляет V0=0,001 м3, частота вращения n=2 с-1, гидромеханический КПД hгм=0,9, а рабочая жидкость подводится под давлением Р=16 МПа.
Определить разность давления в резервуарах А и В, наполненных водой ( рис.29). Разность уровня ртути в дифференциальном Ртутном манометре ∆hₚ = 50 мм. Трубки манометра наполнены ртутью и водой без воздуха. Давление в резервуаре А больше, чем в резервуаре В. γрт=13600 кг/мІ, γв=1000 кг/мІ.
![]()

Основные элементы поршневого насоса?
По каким основным параметрам осуществляется выбор типа и размеров фильтра?
По трубопроводу длинной ℓ=30м, диаметром d=0.06 м, снабженному вентилем, подается турбинное масло (r=950 кг/м3) в количестве Q=0.012 м3/с. Определить потери давления DP в трубопроводе, если коэффициент гидравлического трения l=0.03, коэффициент местного сопротивления вентиля x=8,0.
Под действием каких сил внутри жидкости возникают сжимающие напряжения, называемым гидростатическим давлением?
Радиально поршневой гидронасос должен развивать подачу Q=0,003 м3/с при давлении Р=20 МПа и частоте вращения n=20 с-1. Определите диаметр d цилиндров Z=9, эксцентриситет е=0,01 м, объемный КПД h0=0,95, гидромеханический КПД hгм=0,9.
Рассчитать требуемый момент гидромотора, расход гидромотора, требуемый расход гидромотора, мощность, если нагрузка M = 100 Н·м, число оборотов n = 24 об/с, η = 0,94, P = 10 МПа, q = 67 см³.
Сформулируйте закон Архимеда.
Сравните скорости u и расходы Q сходящихся, цилиндрических и расходящихся насадков, имеющих равные входные диаметры. Укажите, какой вариант ответа правилен?
![]()

Через круглое отверстие в тонкой стенке диаметром d=20 мм вытекает вода. Определить её расход, при напоре над центром тяжести отверстия H₀=64 см.
Что относится к дополнительным устройствам гидрообъёмного привода?
Шестеренный бензонасос, подача которого QH=4 л/с, снабжен обводной трубой, возвращающей часть его подачи на сторону всасывания. Статический напор установки Нст = 8 м. Характеристика шестеренного насоса в координатах QH-Нн может быть приближенно изображена вертикальной прямой QH = const. Диаметр основного трубопровода d1 = 50 мм, его при¬веденная длина l1=50 м (l= 0,025). Диаметр обводной трубы d0 = 32 мм, ее суммарный коэффициент сопротивления, включая частично прикрытый вентиль l = 33. Определить подачу в верхний бак и мощность, потребляемую насосом (КПД насоса η = 70%, плотность бензина ρ =750 кг/м3).
![]()

В насосной установке вода подаётся на высоту =15 м центробежным насосом с заданной характеристикой при высоте всасывания =4 м. Напорная и всасывающая трубы имеют диаметр =80 мм, =100 мм. Суммарный коэффициент сопротивления напорной трубы (без учёта задвижки на выходе из насоса ) =22 и всасывающей трубы =6. Определить подачу насоса, допустимую по условиям всасывания им жидкости. При каком наименьшем значении коэффициента сопротивления задвижки будет достигнута эта подача?Какую мощность будет потреблять насос на этом предельном режиме?
В экспериментальной установке вода перекачивается насосом 1 из бака А, где поддерживается постоянный вакуум =78 кПа, в расположенный ниже открытый резервуар в трубопроводы общей длиной l=80 м и диаметром d=50 мм. Из резервуара В вода возвращается в бак А насосом по трубопроводу. Коэффициент сопротивления ?=0,03, примерный коэффициент местного Сопротивления ?=6,5, расход Q=6 л/с, h=5 м. Определить напоры, какие должны создавать насосы, чтобы в системе циркулировала вода:
Вид кавитации в проточной части насоса:
Воздуходувки – машины для транспортирования воздуха (газов) при средней степени сжатия:
Два последовательно соединённых центробежных насоса перекачивают воду при об/мин из водохранилища А с отметкой уровня ?0 в бассейн В с отметкой уровня ?20 по трубопроводу, состоящему из двух одинаковых участков длиной l=1 км и диаметром d=250 мм каждый (?=0,02). Пренебрегая местными потерями напора определить подачу насосов и потребляемую каждым из них мощность двигателя?Определить как необходимо изменить частоту вращения одного из насосов, чтобы увеличить расход в трубопроводе на 25%.
Действительная высота всасывания объемного (поршневого) насоса?
Для откачки воды из дренажного колодца с притоком от Q=5 л/с до Q= 30. л/с установлены центробежные насосы, напорная характеристика каждого из которых задана. Насосы имеют общую всасывающую и напорную линии, кривая суммарных потерь для которых указана на графике. Сколько насосов должно обслуживать колодец, работая параллельно, если предельный уровень в нем не должен превышать отметки +12,5 м?
Достоинства центробежных вентиляторов?
Замкнутая циркуляционная система состоит из насоса, котла избыточное давление, в котором =0,11 кПа и шести одинаковых участков трубопроводного диаметра d=50 мм и длинами l=12,5 м. При работе насоса уровень в пьезометре, установленном на середине правого вертикального участка системы, располагается на высоте h=5 м над уровнем воды в котле. Определить подачу насоса, давление и мощность насоса , принимая коэффициент сопротивления трения ?=0,025.
Из пункта А в пункт В необходимо перекачивать воду в количестве Q=250 /ч по стальному трубопроводу диаметром d=150 мм и длиной l=14м (шероховатость ?=0,2 мм),профиль трассы на рисунке. Определить сколько насосных станций необходимо установить и каких пунктах трассы они должны быть расположены, чтобы избыточное давление в трубах нигде не превышало 5 МПа. Число насосных станций определяется делением потребного суммарного напора насосов на предельный по заданию напор одной станции. Место расположения станций определяется графически при помощи построения, показанного на схеме.
Из резервуара А необходимо подавать при помощи центробежного насоса в резервуары В С, уровни в которых расположены на высотах Нв -20 м и Нс = 25 м, одинаковые количества воды Q = 4 л/с . Трубопровод АК (до узла К) имеет приведенную длину l =100 м и диаметр d1 = 75 мм; трубы КС и КВ одинаковы: 12 = 13 = 50 м и d2 = d3=50 мм. Коэффициент сопротивления трения во всех трубах ?=0,025. Определить дополнительное сопротивление ?1, которое необходимо ввести в трубу КВ (путем прикрытия задвижки), чтобы обеспечить требуемое равенство расходов?Какой будет при этом мощность насоса?
Изменится ли производительность вентилятора, давление и мощность при пневмотранспорте?
Испытание модели центробежного насоса производилось в масштабе Х=5 при числе оборотов n=590 об/мин. При этом Q=8,9 л/с, =0,68 м. Считая КПД модели и натуры одинаковыми, определить производительность и напор насоса при а) n=590 об/мин и б) n=730 об/мин.
К.П.Д. струйного аппарата
Как зависят утечки от напора создаваемые колесом турбомашины?
Как изменяется и если угол наклона лопаты больше
Как изменяется и если угол наклона лопаты меньше
Как изменяется и если угол наклона лопаты равен
Как классифицируются компрессоры по принципу действия?
Как определяется высота всасывания насоса?
Как подсчитать потребляемую мощность вентилятора при работе с механическими примесями и влияют ли они на развиваемое давление при неизменной производительности вентилятора ( к – опытный коэффициент, ?– весовая концентрация смеси)?
Как построить суммарную напорную характеристику двух параллельных включенных машин на одну сеть?
Какие мероприятия необходимы предпринимать на подводящем трубопроводе для предотвращения кавитации?
Какие потери наблюдаются в реальной турбомашине?
Какова единица измерения давления в международной системе измерения (СИ)?
Какова единица измерения производительности (подачи) турбомашин в системе СИ?
Какое соединение насосов -параллельное или последовательное -выгоднее по величине КПД при работе с n=1600 об/мин на водонапорную башню?
Классификация нагнетателей
Кто дал объяснение движению жидкости в рабочем колесе центробежного насоса?
Кто разработал теорию центробежного рабочего колеса?
Кто является изобретателем центробежных насосов и осевых вентиляторов?
Назначение воздухосборника компрессорной установки?
Назначение входных патрубков вентиляторных установок?
Назначение направляющего аппарата центробежного вентилятора?
Назначение рабочего колеса центробежного вентилятора?
Насосная станция перекачивает воду в количестве = 0,6 /с по горизонтальному трубопроводу длиной l=5 км и диаметром d=500 мм из бассейна А в резервуар В. Определить мощность насоса, установленного на станции, учитывая в трубопроводе только потери трения по длине (?=0,015).
Насосная станция состоит из двух одинаковых центробежных насосов, которые забирают воду из колодца с нулевой отметкой уровня и подают по трубопроводу длиной l=2 км и диаметром d=130 мм в напорную башню с отметкой уровня +20 м. В случае пожара станция работает на специальный водопровод (задвижка A- открыта, задвижка В - закрыта) и должна обеспечить подачу Q=7,5 л/с при напоре на станции Hн= 40 м. Какое соединение насосов -параллельное или последовательное -выгоднее по величине КПД при работе с n=1600 об/мин на водонапорную башню?
Недостатки осевых вентиляторов
Недостатки центробежных вентиляторов
Определение напора, давления насоса, их соотношение.
Определить (коэффициент быстроходности) рабочего колеса, если известны: число оборотов насоса n=1450 об/мин, производительность Q=0,05 и напор Н=25,0 м.
Определить давление, развиваемое при нормальных условиях (g=1,2 кг/м3) радиальным вентилятором низкого давления N4 (D2=0,4 м) при ?=150c-1, если ?'=0,95
Определить мощность насоса, исходя из следующих условий: Q=120000 м3/ч, Р=930 Па, g=0,74 кг/м3, ?=0,062
Определить теоретическую высоту полета струи z для каждого из двух насадков диаметром dH = 30 мм, питаемых центробежным насосом (n=1450 об/мин) и расположенных на высотах h1=5 м и h2=10 м над уровнем всасывания. Трубопровод насоса до узла имеет общую длину l1=25 м и диаметр d1 = 125 мм (коэффициент сопротивления трения ?=0,03, суммарный коэффициент местных сопротивлений ?=14). Трубопроводы, ведущие к насадкам, .имеют диаметры d2=d3=80 мм и длины l2=10 м, l3=20 м (?=0,04). Коэффициент сопротивления насадков ?н = 0,1 (сжатие на выходе отсутствует).Определить мощность, потребляемую насосом.
Основные параметры, характеризующие работу турбомашин?
Основные элементы центробежного насоса:
Откачка грунтовой воды из колодца производится центробежным насосом (характеристика которого задана) производится по гибким шлангам общей длиной =+=7 м и диаметром d=100 мм. Определить время понижения уровня в колодце на =3 м, если площадь его поперечного сечения 1,25 , а выходное отверстие напорного трубопровода расположено выше конечного уровня в колодце на =4 м. Время понижения уровня определить по средней за время откачки подаче насоса. Коэффициент сопротивления трения шлангов ?=0,04, суммарные коэффициенты местных сопротивлений во всасывающем трубопроводе =6, а в напорном =4.
Подсчитать мощность на колесе вентилятора, если Q = 120000 м3/ч, Р = 930 Па, ?= 0,74 кг/м3, ?= 0,62
Полный напор (давление) складывается из:
Понятие мощности для гидравлической машины:
Поршневой насос перекачивает воду из резервуара А в резервуар В и С. Отметки в резервуарах соответственно равны +2, +6, -4 (отметка насоса принята за нуль). Подача в верхний резервуар =2 л/с. Трубопровод состоит из четырёх участков труб одинакового диаметра d=50 мм и одинаковой длины l=50 м На трубе, идущей к нижнему резервуару, установлен кран, прикрытый настолько, Что его коэффициент сопротивления ?=120. Определить подачу , напор , мощность насоса, пренебрегая всеми местными сопротивлениями, за исключением сопротивления крана и принимая коэффициент сопротивления трения в трубах ?=0,03.
Предназначение эжектора, инжектора, гидроэлеватора.
Преимущества многоступенчатого сжатия?
При испытании центробежного насоса, всасывающий патрубок которого имеет диаметр =80 мм, а напорный =60 мм, получены следующие данные: показания манометра на выходе из насоса =125 кПа, показания вакуумметра на входе в насос =30 кПа. Расстояние между входным и выходным сечением насоса h=8 см. Превышение манометра над входным сечением насоса а=12 см , производительность насоса =10 л/с. Вращающий момент на валу насоса М=10 Нм. Частота вращения насоса n=2000 об/мин. Определить напор насоса, мощность и КПД.
При перекачке нефтепродуктов (плотность ?=900 кг/ и динамическая вязкость ?=0,49 Па) в количестве =56 л/с на расстояние l=16 км при высоте подъёма =30 м можно использовать трубы диаметром d=150 мм или d=200 мм, т.е. и другие для давлений, не превышающих р=6,5?7,0 МПа. Трубопровод считать гидравлически гладким, местные потери не учитывать. Определить в обоих случаях необходимую для перекачки мощность насосов и число последовательно работающих насосов.
Рекомендуемая скорость движения воды в нагнетательном трубопроводе?
С какими скоростями движется жидкость в центробежном колесе?
Способы повышения давления в компрессорных установках?
Статическим напором в гидравлической машине называется приращение:
Теоретическая высота всасывания поршневого (объемного) насоса?
Типы индивидуальных характеристик осевых лопастных машин?
Характеристики ответов (шпаргалок) к заданиям
Тип
Коллекция: Ответы (шпаргалки) к заданиям
Учебное заведение
Номер задания
Теги
Просмотров
2
Качество
Идеальное компьютерное
Количество вопросов

📚Помощь в сдаче любых видов работ✒️Более 6000 готовых студенческих работ и тестов для НСПК, ОСЭК, НИИДПО, НАДПО и других ВУЗов👨🏫Гарантирую результат или полностью верну деньги!✅💰