Для студентов ТулГУ по предмету Моделирование динамических системМоделирование динамических системМоделирование динамических систем
5,0056027
2025-09-162025-09-16СтудИзба
☀️ Моделирование динамических систем | ТулГУ сборник ответов на все тесты☀️
Ответы к заданиям Ответы на тесты: Моделирование динамических систем
-43%
Описание
▶️ Ответы на все тесты (жми на текст) 😎 ◀️
▶️ Готовые лабораторные работы, практические задания, услуги (жми на текст)🔥◀️
Ответы к дисциплине Моделирование динамических систем для ТулГУ, помогут при сдаче экзамена/итоговой аттестации или зачёта :)
Для поиска нужного вопроса, воспользуйтесь поиском ниже
‼️ Ответы могут подойти к другим похожим дисциплинам, проверяйте по вопросам‼️Показать/скрыть дополнительное описание
▶️ Готовые лабораторные работы, практические задания, услуги (жми на текст)🔥◀️
Ответы к дисциплине Моделирование динамических систем для ТулГУ, помогут при сдаче экзамена/итоговой аттестации или зачёта :)
Для поиска нужного вопроса, воспользуйтесь поиском ниже
‼️ Ответы могут подойти к другим похожим дисциплинам, проверяйте по вопросам‼️Показать/скрыть дополнительное описание
Моделирование динамических систем ТулГУ ответы на тест зачёт экзамен итоговая аттестация.
Список вопросов
Первая теорема подобия гласит
Потери в активной части магнитопровода силового трансформатора состоят из следующих частей (выбрать): 1) потерь на гистерезис (Рг), 2)потерь на вихревые токи (Рв);3) потерь на магнитное последействие (Pп); 4) активных потерь (Pа); 5) реактивных потерь (Pр).
Принцип объективности гласит
Принцип ЛеШателье - Брауна гласит
Принцип иерархичности гласит
Принцип единства Вселенной гласит
Принцип дуальности гласит
Принцип дополнительности Н.Бора гласит
Принцип детерминизма гласит
Принцип дедуктивности гласит
Принцип антителеологичности гласит
Приведенная Т-образная схема замещения трансформатора представлена на рисунке
![]()

Потери на гистерезис при перемагничивании вызываются затратой энергии на
Потери на вихревые токи вызываются затратой энергии на
Принцип оптимальности гласит
Полная Т-образная схема замещения трансформатора представлена на рисунке
![]()

Под силой диссипации в электротехнике понимается
По способу получения переменные подразделяются на
Переменные величины, входящие в математическую модель, различают по следующим признакам
Первый критерий подобия электрических и механических систем имеет вид
![]()

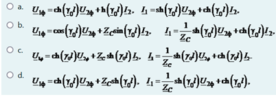
Параметры П-образной схемы замещения ЛЭП вычисляются по формулам
![]()

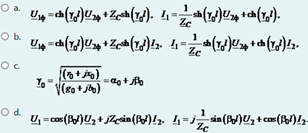
Параметры П-образной схемы замещения для идеальной ЛЭП вычисляются по формулам
![]()

Параметром, связанным с процессом концентрации энергии в электрической системе, является
Параллепипедные ограничения на переменную Z имеют вид
П-образная схема замещения ЛЭП представлена на рисунке
![]()

Технически ненаблюдаемые переменные характеризуются тем, что они
Энтропия S и негэнтропия I замкнутой системы связаны отношением
Частными случаями принципа дуальности являются
Частным случаем принципа Ле Шателье – Брауна в электротехнике является
Функциональные ограничения на переменную Z в общем виде имеют вид
Физические модели - это, как правило,
Физические модели разделяют на
Условно количественно оцениваемые переменные характеризуются тем, что
Условно измеряемые переменные характеризуются тем, что
Упрощенная Г-образная схема замещения трансформатора представлена на рисунке
![]()

Третий критерий подобия электрических и механических систем имеет вид
![]()

Топологические уравнения элементов электрических систем имеют вид

Основными способами построения математических моделей на метауровне являются:
1) дискретизация времени, 2) потери энергии в объекте не учитываются; 3) переход к факторным моделям; 4) переход к функциональным моделям, в которых используется только один вид фазовой переменной – сигнал; 5) эквивалентирование
1) дискретизация времени, 2) потери энергии в объекте не учитываются; 3) переход к факторным моделям; 4) переход к функциональным моделям, в которых используется только один вид фазовой переменной – сигнал; 5) эквивалентирование
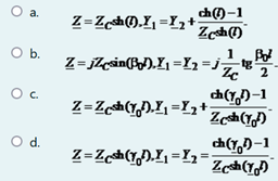
Телеграфное уравнение ЛЭП имеет вид
![]()

Статическими характеристиками нагрузки по напряжению являются
Сопротивления и проводимости Г-образной схемы замещения трансформатора, приведенные к напряжению обмотки первичного напряжения, определяются по формулам
![]()

Регулирующие эффекты нагрузки это
Принципиально ненаблюдаемые переменные характеризуются тем, что они
Принцип телеологичности гласит
Принцип системной целостности гласит
Принцип роста энтропии гласит
Принцип рекуррентности гласит
Принцип редукционизма гласит
Принцип подобия гласит
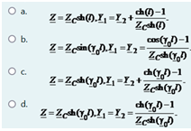
Волновое сопротивление ЛЭП вычисляется по формуле
![]()

Для графа, изображенного на рисунке, вторая матрица инциденций N равна
![]()

Дискретные переменные подразделяются на ____ типа
Детерминированная (определенная) переменная означает, что для нее
Геометрически подобные модели – это
Г-образная схема замещения трансформатора представлена на рисунке
![]()

Г-образная схема замещения ЛЭП представлена на рисунке
![]()

Входные переменные разделяют на
Выберите один ответ:

Вторая теорема подобия гласит
Все переменные математической модели исследуемого объекта подразделяют на
Все модели можно разделить на следующие обобщенные группы:
Все модели можно разделить на _____ группы:
Для достижения математического подобия необходимо, чтобы обе системы
Внешней характеристикой трансформатора называют зависимость изменения
Вербальные модели – это
Величина потерь на вихревые токи в магнитопроводе силового трансформатора пропорциональна
В электротехнических задачах существует два крайних подхода к моделированию
В электротехнике упорядоченность потока зарядов оценивается
В электрических схемах параметром, отвечающим за диссипацию энергии является
В прямых задачах исследования объекта по его математической модели
В основе научного подхода к изучению явлений природы лежат следующие принципы
В обратных задачах исследования объекта по его математической модели
В каких режимах работы трансформатора следует считаться с несинусоидальностью тока трансформатора
Аналоговые модели – это
Математическая модель идеальной линии имеет вид:
![]()

Ортогональность двух схем замещения выражается в том, что
Оригиналом в теории моделирования называется
Непосредственно измеряемые переменные характеризуются тем, что
Ненаблюдаемые переменные подразделяют
Наблюдаемые переменные делятся на
На рисунке изображена переменная
![]()

На рисунке изображена переменная
![]()

На рисунке изображена переменная
![]()

На рисунке изображена переменная
![]()

Моделью в теории моделирования называется
Мерой электромагнитной инерции является
Аксиома эмерджентности гласит
Любой элементарный процесс может быть смоделирован схемой замещения, в которой присутствуют
Коэффициент распространения волны ЛЭП вычисляется по формуле
![]()

Косвенно измеряемые переменные характеризуются тем, что
Компонентные уравнения элементов электрических систем имеют вид
![]()

К частным случаям принципа подобия относятся
Интенсивность изменения степени неравновесия конденсатора, возникающая при соединении его обкладок проводником, называется
Идеальные модели подразделяются на
Знаковые модели – это модели, которые
Знаковые модели могут быть:
Если соответствующие пары величин характеризуют процессы одинаковой физической природы, то имеет место
Если между соответствующими изменяющимися величинами имеется пропорциональность, но эти величины имеют различную природу, то имеет место
Характеристики ответов (шпаргалок) к заданиям
Тип
Коллекция: Ответы (шпаргалки) к заданиям
Учебное заведение
Номер задания
Теги
Просмотров
2
Качество
Идеальное компьютерное
Количество вопросов

📚Помощь в сдаче любых видов работ✒️Более 6000 готовых студенческих работ и тестов для НСПК, ОСЭК, НИИДПО, НАДПО и других ВУЗов👨🏫Гарантирую результат или полностью верну деньги!✅💰