Для студентов МЭИ в г. Смоленск по предмету Методы оптимизации2 задачи2 задачи
5,0053092
2022-10-082022-10-08СтудИзба
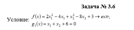
Задача 3.6, 5.4: 2 задачи
Описание


Характеристики решённой задачи
Предмет
Учебное заведение
Просмотров
1
Размер
135,14 Kb
Список файлов
Kursovoy_po_Lyubovu_S_K.docx

Все деньги, вырученные с продажи, идут исключительно на шаурму