Для студентов МГТУ им. Н.Э.Баумана по предмету Методы оптимизацииДЗ 1 вариант 9ДЗ 1 вариант 9
5,0053
2020-12-182020-12-18СтудИзба
ДЗ: ДЗ 1 вариант 9
Описание
Выполненные 4 задачи на семестр. Зачтено.
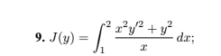
1)
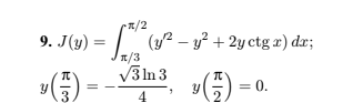
2)
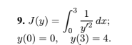
3)
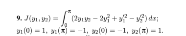
4)
Преподаватель Калинкин А.В.
1)


3)


Характеристики домашнего задания
Предмет
Учебное заведение
Семестр
Просмотров
85
Качество
Фото рукописных листов
Размер
662,06 Kb
Список файлов
ТР1 Вариант 9.pdf