Для студентов по предмету Механика жидкости и газа (МЖГ или Гидравлика)Задача 2-20Задача 2-20
5,0056
2025-04-212025-09-07СтудИзба
Задача 2: Задача 2-20 вариант 20
Описание
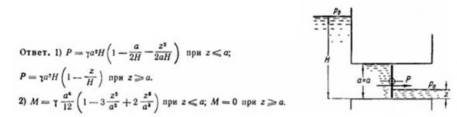
Слева от квадратного дискового затвора размером а*a уровень воды постоянен (H), а справа переменен (z). Выразить в зависимости от z суммарную гидравлическую силу Р, действующую на затвор, и ее момент M относительно оси вращения затвора, проходящей через его центр тяжести. Указать наибольшие значения Р и М в интервале 0<z<H.
Характеристики решённой задачи
Номер задания
Вариант
Программы
Теги
Просмотров
24
Качество
Идеальное компьютерное
Размер
37,67 Kb
Список файлов
Задача2.20.docx
Комментарии
Нет комментариев
Стань первым, кто что-нибудь напишет!
A45162























