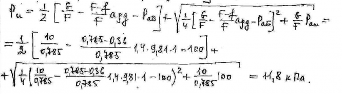
Для студентов по предмету Механика жидкости и газа (МЖГ или Гидравлика)Задача 1-28Задача 1-28
5,0051
2022-12-042022-12-04СтудИзба
Задача 1: Задача 1-28 вариант 28
Описание
Характеристики решённой задачи
Номер задания
Вариант
Теги
Просмотров
18
Качество
Фото рукописных листов
Размер
206,42 Kb
Список файлов
1-28.jpg

Если работа Вам была полезна, Пожалуйста, потратьте несколько секунд, чтобы оставить нам 5 ЗВЁЗД и положительный отзывы. Мы Вам глубоко признателены!