Для студентов по предмету Механика жидкости и газа (МЖГ или Гидравлика)Задача 3-28Задача 3-28
5,0054
2022-12-142022-12-14СтудИзба
Задача 3: Задача 3-28 вариант 28
-51%
Описание
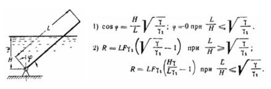
Задача (Куколевский И.И.) 3-28. Однородный брус постоянного сечения F, длиной L и плотностью ?1, своим нижним концом шарнирно закреплен на глубине Н? > ?1.
1) Определить какой угол наклона ? отвечает устойчивому равновесию бруса в жидкости и при каких значениях L/Н брус будет покоиться в вертикальном положении?
2) Какова при равновесном положении бруса опорная реакция К в шарнире.
![]()
1) Определить какой угол наклона ? отвечает устойчивому равновесию бруса в жидкости и при каких значениях L/Н брус будет покоиться в вертикальном положении?
2) Какова при равновесном положении бруса опорная реакция К в шарнире.

Характеристики решённой задачи
Номер задания
Вариант
Программы
Теги
Просмотров
34
Качество
Идеальное компьютерное
Размер
66,5 Kb
Список файлов
Задача 3-28.doc

Вам все понравилось? Получите кэшбэк - 40 рублей на Ваш счёт при покупке. Поставьте оценку и напишите положительный комментарий к купленному файлу. После Вы получите деньги на ваш счет.