Для студентов по предмету Механика жидкости и газа (МЖГ или Гидравлика)Задача 9-26Задача 9-26
5,00513
2022-11-032024-07-12СтудИзба
Задача 9: Задача 9-26 вариант 26
Описание
Задача (Куколевский И.И.) 9-26
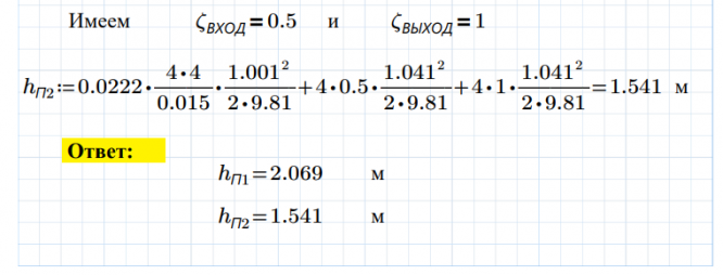
Противоточный переохладитель для аммиака выполнен в виде четырех последовательных секций, каждая из которых образована двумя концентрическими трубами. По внутренней трубе, диаметр которой d1 = 30 мм и толщина стенки 2,5 мм, течет вода, по междутрубному пространству – жидкий аммиак (диаметр внешней трубы d2 = 50 мм). Общая длина внутренней трубы L1 = 22 м, длина каждой секции L2 = 4 м, диаметр соединительных патрубков между секциями d3 = 35 мм.Определить потери напора в переохладителе для воды hп1, и аммиака hп2, если массовый расход воды M1 = 4000 кг/ч (ν = 1,2 ∙ 10-2 Ст) и аммиака M2 = 2200 кг/ч (относительная плотность δ = 0,61 и динамическая вязкость μ = 0,225 ∙ 10-2 П при t = 20 ℃).
Трубы принимать гидравлически гладкими, коэффициент сопротивления входа в соединительный патрубок ζвх = 0,5 и выхода из него ζвых = 1. Потерями на плавных поворотах внутренней трубы пренебречь.


ДЕМО


Характеристики решённой задачи
Номер задания
Вариант
Программы
Теги
Просмотров
97
Качество
Идеальное компьютерное
Размер
3,8 Mb
Список файлов
9.26.pdf

Если работа Вам была полезна, Пожалуйста, потратьте несколько секунд, чтобы оставить нам 5 ЗВЁЗД и положительный отзывы. Мы Вам глубоко признателены!