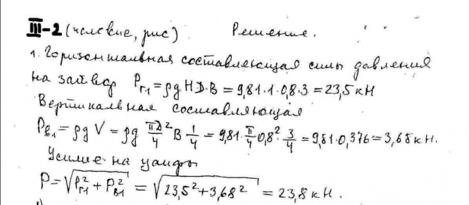
Для студентов по предмету Механика жидкости и газа (МЖГ или Гидравлика)Задача 3-2Задача 3-2
5,00518
2022-10-212024-07-02СтудИзба
Задача 3: Задача 3-2 вариант 2
Описание
Характеристики решённой задачи
Номер задания
Вариант
Теги
Просмотров
191
Качество
Фото рукописных листов
Размер
459,97 Kb
Список файлов
3-2.jpg
Рис 3_2.2.JPG
Рис 3_2.1.JPG

Если работа Вам была полезна, Пожалуйста, потратьте несколько секунд, чтобы оставить нам 5 ЗВЁЗД и положительный отзывы. Мы Вам глубоко признателены!