Главная » Учебные материалы » Механика жидкости и газа (МЖГ или Гидравлика) » Решения задач » Несколько классов/семестров » В установке гидравлического пресса насос 3 всасывает жидкость Ж, температура которой tоС, из бака 1 и через трехпозиционный распределитель 4 нагнетает ее в пресс. При прессовании по нагнетательным трубопроводам l1 и l2 жидкость подается в правую стор
Для студентов по предмету Механика жидкости и газа (МЖГ или Гидравлика)В установке гидравлического пресса насос 3 всасывает жидкость Ж, температура которой tоС, из бака 1 и через трехпозиционный распределитель 4 нагнетаетВ установке гидравлического пресса насос 3 всасывает жидкость Ж, температура которой tоС, из бака 1 и через трехпозиционный распределитель 4 нагнетает
5,00513
2017-02-25СтудИзба

В установке гидравлического пресса насос 3 всасывает жидкость Ж, температура которой tоС, из бака 1 и через трехпозиционный распределитель 4 нагнетает ее в пресс. При прессовании по нагнетательным трубопроводам l1 и l2 жидкость подается в правую стор

Описание

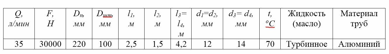
В установке гидравлического пресса насос 3 всасывает жидкость Ж, температура которой tоС, из бака 1 и через трехпозиционный распределитель 4 нагнетает ее в пресс. При прессовании по нагнетательным трубопроводам l1 и l2 жидкость подается в правую сторону мультипликатора 5. При возвращении подвижного инструмента пресса в исходное верхнее положение жидкость подается по трубопроводу l3 в рабочий цилиндр 7. При движении поршня гидроцилиндра вверх через трубопровод l5 мультипликатор 5 заправляется. Объемные потери жидкости при этом компенсируются насосом через обратный клапан 6. Диаметры поршня силового цилиндра Dп, штока Dшт, мультипликатора D1 и D2, длины участков трубопровода l1=l2 и l3=l4, диаметры d1=d2 и d3=d4. Потерями (объемными и механическими) в силовом цилиндре и мультипликаторе можно пренебречь. По данным, приведенным в таблице, определить давление, создаваемое насосом 3, и его полезную мощность, если известны подача насоса Q и усилие F, развиваемое поршнем силового цилиндра при запрессовки (при движении поршня вниз).

Подробное решение с пояснениями в word13.

Характеристики решённой задачи

Программы
Просмотров
1041
Качество
Идеальное компьютерное
Размер
127,17 Kb

Список файлов

17499-12509-1488043488-zadacha-1.docx
Картинка-подпись

Комментарии

Нет комментариев
Стань первым, кто что-нибудь напишет!
Поделитесь ссылкой:
Цена: 110 руб.
Расширенная гарантия +3 недели гарантии, +10% цены
Рейтинг покупателей
5 из 5
Поделитесь ссылкой:
Сопутствующие материалы
Центробежный насос 5НДв, характеристики которого H(Q), N(Q), η(Q) при частоте вращения n1=2950 об/мин приведены в приложении В, обеспечивает движение жидкости (вода, температура tоC) в количестве Q по гидравлической магистрали (рисунок 2), разветвляю
В гидравлической системе (рисунок 1), размеры которой приведены в таблице 1, определить расход протекаемой жидкости Q при температуре t0 C при полностью открытом запорном вентиле А (ξвен=2,0), если давление в емкости Рм и высота уровня жидкости Н0 за
Исполнительный механизм силового цилиндра совершает возвратно-поступательное движение, обеспечивает n=24 двойных ходов в минуту. Размеры цилиндра: ход поршня L=0,8м, диаметр поршня D=0,14м, левого штока d1=0,1м, правого – d2=0,07м. Уплотнение в гидро
Определить силу предварительного натяжения пружины Fпр дифференциального предохранительного (переливного) клапана объемного гидропривода, при которой клапан срабатывает и открывает доступ маслу из системы на слив, как только давление в системе достиг
Определить расход жидкости Ж, температура которой 20 °С, протекающей по трубопроводу в пункты 1 и 2, если напор Н в резервуаре А постоянный. Длины отдельных частей трубопровода (∆э=0,020 мм) соответственно равны l, l1, l2, а диаметры d, d1, d2. Местн
Определить давление р1 жидкости, которую необходимо подвести к гидроцилиндру, чтобы преодолеть усилие, направленное вдоль штока F=1 кН. Диаметры: цилиндра D=50 мм, штока d=25 мм. Давление в бачке р0=50 кПа, высота Н=5 м. Силу трения не учитывать. Пло

Подобрали для Вас услуги

-33%
-14%
-30%
Вы можете использовать решённую задачу для примера, а также можете ссылаться на неё в своей работе. Авторство принадлежит автору работы, поэтому запрещено копировать текст из этой работы для любой публикации, в том числе в свою задачу в учебном заведении, без правильно оформленной ссылки. Читайте как правильно публиковать ссылки в своей работе.
Свежие статьи
Популярно сейчас
А знаете ли Вы, что из года в год задания практически не меняются? Математика, преподаваемая в учебных заведениях, никак не менялась минимум 30 лет. Найдите нужный учебный материал на СтудИзбе!
Ответы на популярные вопросы
Да! Наши авторы собирают и выкладывают те работы, которые сдаются в Вашем учебном заведении ежегодно и уже проверены преподавателями.
Да! У нас любой человек может выложить любую учебную работу и зарабатывать на её продажах! Но каждый учебный материал публикуется только после тщательной проверки администрацией.
Вернём деньги! А если быть более точными, то автору даётся немного времени на исправление, а если не исправит или выйдет время, то вернём деньги в полном объёме!
Да! На равне с готовыми студенческими работами у нас продаются услуги. Цены на услуги видны сразу, то есть Вам нужно только указать параметры и сразу можно оплачивать.
Отзывы студентов
Ставлю 10/10
Все нравится, очень удобный сайт, помогает в учебе. Кроме этого, можно заработать самому, выставляя готовые учебные материалы на продажу здесь. Рейтинги и отзывы на преподавателей очень помогают сориентироваться в начале нового семестра. Спасибо за такую функцию. Ставлю максимальную оценку.
Лучшая платформа для успешной сдачи сессии
Познакомился со СтудИзбой благодаря своему другу, очень нравится интерфейс, количество доступных файлов, цена, в общем, все прекрасно. Даже сам продаю какие-то свои работы.
Студизба ван лав ❤
Очень офигенный сайт для студентов. Много полезных учебных материалов. Пользуюсь студизбой с октября 2021 года. Серьёзных нареканий нет. Хотелось бы, что бы ввели подписочную модель и сделали материалы дешевле 300 рублей в рамках подписки бесплатными.
Отличный сайт
Лично меня всё устраивает - и покупка, и продажа; и цены, и возможность предпросмотра куска файла, и обилие бесплатных файлов (в подборках по авторам, читай, ВУЗам и факультетам). Есть определённые баги, но всё решаемо, да и администраторы реагируют в течение суток.
Маленький отзыв о большом помощнике!
Студизба спасает в те моменты, когда сроки горят, а работ накопилось достаточно. Довольно удобный сайт с простой навигацией и огромным количеством материалов.
Студ. Изба как крупнейший сборник работ для студентов
Тут дофига бывает всего полезного. Печально, что бывают предметы по которым даже одного бесплатного решения нет, но это скорее вопрос к студентам. В остальном всё здорово.
Спасательный островок
Если уже не успеваешь разобраться или застрял на каком-то задание поможет тебе быстро и недорого решить твою проблему.
Всё и так отлично
Всё очень удобно. Особенно круто, что есть система бонусов и можно выводить остатки денег. Очень много качественных бесплатных файлов.
Отзыв о системе "Студизба"
Отличная платформа для распространения работ, востребованных студентами. Хорошо налаженная и качественная работа сайта, огромная база заданий и аудитория.
Отличный помощник
Отличный сайт с кучей полезных файлов, позволяющий найти много методичек / учебников / отзывов о вузах и преподователях.
Отлично помогает студентам в любой момент для решения трудных и незамедлительных задач
Хотелось бы больше конкретной информации о преподавателях. А так в принципе хороший сайт, всегда им пользуюсь и ни разу не было желания прекратить. Хороший сайт для помощи студентам, удобный и приятный интерфейс. Из недостатков можно выделить только отсутствия небольшого количества файлов.
Спасибо за шикарный сайт
Великолепный сайт на котором студент за не большие деньги может найти помощь с дз, проектами курсовыми, лабораторными, а также узнать отзывы на преподавателей и бесплатно скачать пособия.
Популярные преподаватели
Добавляйте материалы
и зарабатывайте!
Продажи идут автоматически
6909
Авторов
на СтудИзбе
267
Средний доход
с одного платного файла
Обучение Подробнее
{user_main_secret_data}