Для студентов по предмету МатематикаРешите задачу о колебаниях полубесконечнойРешите задачу о колебаниях полубесконечной
5,0053184
2025-05-162025-05-16СтудИзба
Задача: Решите задачу о колебаниях полубесконечной
Описание
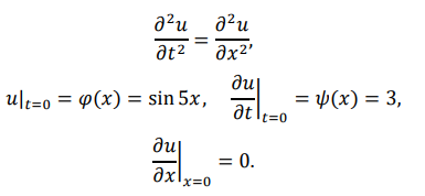
Решите задачу о колебаниях полубесконечной (𝑥 ≥ 0) струны методом Даламбера:
![]()

Характеристики решённой задачи
Предмет
Просмотров
1
Качество
Идеальное компьютерное
Размер
551,29 Kb
Список файлов
18_b.pdf

Если нужен другой вариант работы или отдельная задача из любой работы, пишите в комментарии