Для студентов по предмету МатематикаНайти спектральную плотность стационарной случайной функцииНайти спектральную плотность стационарной случайной функции
5,0053184
2025-04-082025-04-08СтудИзба
Задача: Найти спектральную плотность стационарной случайной функции
Описание
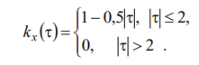
Найти спектральную плотность стационарной случайной функции Х(t), если ее корреляционная функция имеет вид:
![]()

Характеристики решённой задачи
Предмет
Просмотров
1
Качество
Идеальное компьютерное
Размер
199,7 Kb
Список файлов
3-11-12.pdf

Если нужен другой вариант работы или отдельная задача из любой работы, пишите в комментарии