Для студентов УрФУ им. Ельцина по предмету МатематикаИзменить порядок интегрирования в двойном интегралеИзменить порядок интегрирования в двойном интеграле
5,0053155
2025-04-042025-04-06СтудИзба
Задача: Изменить порядок интегрирования в двойном интеграле
Описание
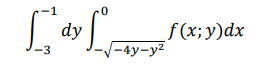
Изменить порядок интегрирования в двойном интеграле. Сделать чертеж области интегрирования
![]()

Характеристики решённой задачи
Предмет
Учебное заведение
Просмотров
3
Качество
Идеальное компьютерное
Размер
200,63 Kb
Список файлов
1-2-3.pdf

Если нужен другой вариант работы или отдельная задача из любой работы, пишите в комментарии