Для студентов АГУ в г. Рубцовск по предмету МатематикаКонтрольная работа (задачи) по высшей математикеКонтрольная работа (задачи) по высшей математике
5,0057
2023-01-142023-01-14СтудИзба
Задача: Контрольная работа (задачи) по высшей математике
Описание
Задачи по высшей математике
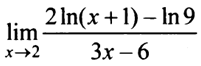
Задание 1
Вычислить предел функции

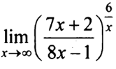
Задание 2
Вычислить предел функции

Задание 3
В математической модели рынка некоторого товара функции спроса D(p) и предложения S (p) имеют вид: D(p) =82-15p-10p^2, S(p)=2p^2+3p-2, где p – цена товара в рублях. Вычислите эластичность спроса относительно цены в точке рыночного равновесия.
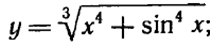
Задание 4
Найдите производную заданной функции:

Задание 5
Для заданной производственной функции Q(K;L)=(L^2,1*e^K)/(1+e^K), где Q — объём выпускаемой продукции, K — объем фондов (капитала), L — объём трудовых ресурсов при K0=5 и L0=4.
Задание 6
Вычислить интеграл

Задание 7
Производительность труда одного рабочего за одну смену описывается функцией p(t)=12,4t-0,95t^2, где t – время в часах, 0
Файлы условия, демо
Характеристики решённой задачи
Предмет
Учебное заведение
Семестр
Просмотров
6
Размер
60,75 Kb
Список файлов
Контрольная работа по высшей математике.docx
Комментарии
Нет комментариев
Стань первым, кто что-нибудь напишет!
АГУ в г. Рубцовск

















