Для студентов ТУСУР по предмету МатематикаОтветы к контрольной работе по математикеОтветы к контрольной работе по математике
5,0057
2025-03-032025-03-03СтудИзба
Ответы к контрольной работе: Ответы к контрольной работе по математике
Описание
- Дана матрица:
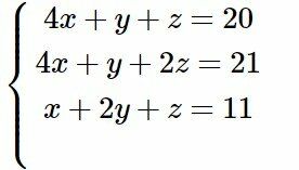
Докажите, что она имеет обратную A-1, и найдите элемент обратной матрицы, стоящий в строке 2 и столбце 1. В ответ введите значение этого элемента. Не целое значение округлите до трёх значащих (отличных от нуля) цифр десятичной дроби. - Дана система:
По формуле Крамера найдите неизвестную x. - Вычислите определитель 5-го порядка.
![]()
- Даны две матрицы:
![]()
- Докажите, что вектор (3;-3) является собственным для матрицы
![]()
- Найдите матрицу
![]()
- В матрице размером (11,9) ровно три строки являются линейными комбинациями остальных. Чему равен ранг этой матрицы?
Характеристики ответов (шпаргалок) к КР
Предмет
Учебное заведение
Семестр
Просмотров
13
Размер
300,15 Kb
Список файлов
Скриншот 03-03-2025 140634.jpg
Скриншот 03-03-2025 140657.jpg
Скриншот 03-03-2025 134842.jpg
Скриншот 03-03-2025 135023.jpg
Скриншот 03-03-2025 135229.jpg
Скриншот 03-03-2025 135118.jpg
Скриншот 03-03-2025 135258.jpg




ТУСУР


















