Задачи по анализу: пределы и исследование функций
Задача: Решения задач по математическому анализу: пределы, производные и экстремумы
Вариант 50
Задание №1
Тема: Пределы функций
Задача 20 а. Найти предел 1.
Задача 20 б. Найти предел 2.
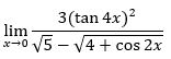
Задача 29 в. Найти предел 3.
Задача 22 г. Найти предел 4.
Задание №2
Тема: Производные функций
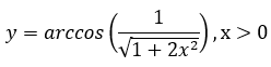
Пример 1, 26 а. Найти производную функции.
Пример 2, 21 б. Найти производную функции.
Задание №3
Тема: Производные высших порядков и дифференциал
Задача 11.
1) Найти вторую производную функции.
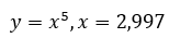
2) Вычислить приближенно с помощью дифференциала.
Задание №4
Тема: Исследование функций
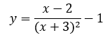
Задача 2 а. Провести полное исследование функции и построить её график.
Задание №5
Тема: Функции нескольких переменных
Задача 11. Найти стационарные точки функции и исследовать их на экстремум.
Показать/скрыть дополнительное описание
Задание №1
Тема: Пределы функций
Задача 20 а. Найти предел 1.
Задача 20 б. Найти предел 2.
Задача 29 в. Найти предел 3.
Задача 22 г. Найти предел 4.
Задание №2
Тема: Производные функций
Пример 1, 26 а. Найти производную функции.
Пример 2, 21 б. Найти производную функции.
Задание №3
Тема: Производные высших порядков и дифференциал
Задача 11.
1) Найти вторую производную функции.
2) Вычислить приближенно с помощью дифференциала.
Задание №4
Тема: Исследование функций
Задача 2 а. Провести полное исследование функции и построить её график.
Задание №5
Тема: Функции нескольких переменных
Задача 11. Найти стационарные точки функции и исследовать их на экстремум.
Показать/скрыть дополнительное описаниеПодборка типовых задач по математическому анализу: предельные переходы, производные и вторая производная, приближённые расчёты через дифференциал, полное исследование рациональной функции и экстремумы для функции двух переменных. Практическая шпаргалка для подготовки к зачёту и экзаменам..
Характеристики решённой задачи
Предмет
Учебное заведение
Семестр
Просмотров
3
Размер
114,66 Kb
Список файлов
Задание_4.docx
Задание_5.docx
Задание_1.docx
Задание_2.docx
Задание_3.docx
🎓 Никольский - Помощь студентам 📚 Любые виды работ: тесты, сессии под ключ, практики, курсовые и дипломные с гарантией результата ✅ Все услуги под ключ ✅ Знаем все тонкости именно вашего ВУЗа ✅ Сдадим или вернем деньги
Комментарии
Нет комментариев
Стань первым, кто что-нибудь напишет!
ЮУрГУ
nikolskypomosh














