Для студентов ИДДО НИУ «МЭИ» по предмету Математический анализРяды. Контрольная работаРяды. Контрольная работа
4,955170
2025-03-192025-03-19СтудИзба
КМ-8. Ряды. Контрольная работа. Математический анализ
Задача КМ-8: Ряды. Контрольная работа
Описание
КМ-8. Ряды. Контрольная работа. Сдана на оценку 5.
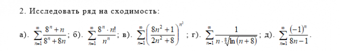
Задания :
Показать/скрыть дополнительное описание
Задания :




КМ-8. Ряды. Контрольная работа. Математический анализ.
Характеристики решённой задачи
Предмет
Учебное заведение
Номер задания
Программы
Просмотров
1
Качество
Идеальное компьютерное
Размер
136,92 Kb
Список файлов
Матемтический анализ.docx
Алёна Руденко