Для студентов МГТУ им. Н.Э.Баумана по предмету Математический анализЭлементарные функции и их графикиЭлементарные функции и их графики
4,90547145
2023-09-212025-04-10СтудИзба
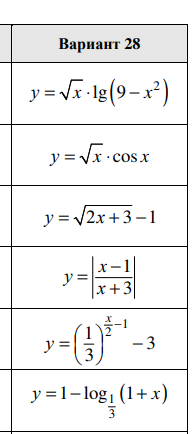
ДЗ 1.1: Элементарные функции и их графики вариант 28
-66%
Описание
Вариант 28 – ДЗ №1 - Элементарные функции и их графики - МТ,РК,ИБМ,Э5,ФН1
Зачтено на максимальный балл 💥 💥 💥
Спасибо за покупку 🥰🥰 🥰
Условие:

Характеристики домашнего задания
Предмет
Учебное заведение
Семестр
Номер задания
Вариант
Теги
Просмотров
68
Размер
2,33 Mb
Список файлов
Вариант 28 – ДЗ №1 - Элементарные функции и их графики - МТ,РК,ИБМ,Э5,ФН1,.pdf

Друзья, спасибо за доверие! Если вам понравилась работа – поставьте 5⭐ и напишите отзыв. Это поможет другим студентам, а мне даст силы делать ещё больше качественных материалов для вас 🔥