Для студентов МГТУ им. Н.Э.Баумана по предмету Математический анализЭлементарные функции и их графикиЭлементарные функции и их графики
5,0054
2023-09-192025-04-10СтудИзба
ДЗ 1.1: Элементарные функции и их графики вариант 24
-66%
Описание
Вариант 24 - ДЗ №1 - Элементарные функции и их графики - СМ,ФН,РК4,ФН2
Зачтено на максимальный балл 💥 💥 💥
Спасибо за покупку 🥰🥰🥰
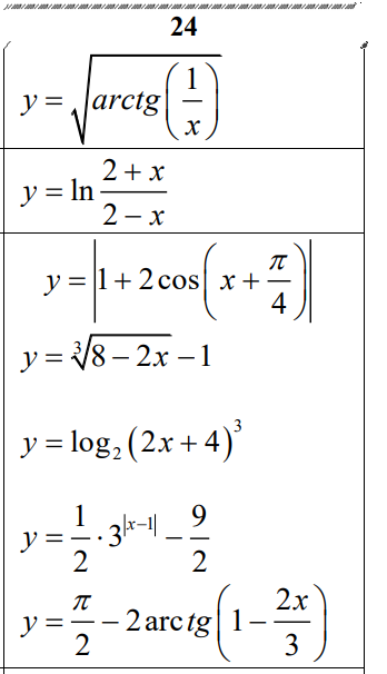
Условие:

Пример решения


Характеристики домашнего задания
Предмет
Учебное заведение
Семестр
Номер задания
Вариант
Просмотров
97
Размер
1,55 Mb
Список файлов
Вариант 24 - ДЗ №1 - Элементарные функции и их графики - СМ.pdf

Друзья, спасибо за доверие! Если вам понравилась работа – поставьте 5⭐ и напишите отзыв. Это поможет другим студентам, а мне даст силы делать ещё больше качественных материалов для вас 🔥