Для студентов МГТУ им. Н.Э.Баумана по предмету Математический анализЭлементарные функции и их графикиЭлементарные функции и их графики
5,0054
2023-09-032025-04-09СтудИзба
Вариант 4 - ДЗ №1 "Элементарные функции и их графики"
ДЗ 1.1: Элементарные функции и их графики вариант 4
-43%
Описание
Типовой расчет по математическому анализу №1 "Элементарные функции и их графики", зачтено
Условие:
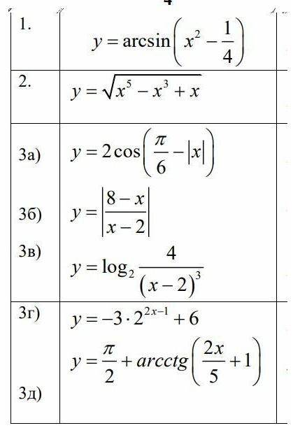
Задача 1:
Задача 2:
Задача 3:
![]()
Условие:








Характеристики домашнего задания
Предмет
Учебное заведение
Семестр
Номер задания
Вариант
Просмотров
52
Качество
Скан рукописных листов
Размер
2,28 Mb
Список файлов
Вариант 4 ЭФ 89.pdf

Спасибо за покупку! Я буду очень рад, если поставишь справедливую оценку купленному файлу :3 Ищи больше работ в моём профиле, там много нужного тебе!