Для студентов МГТУ им. Н.Э.Баумана по предмету Математический анализПределы и непрерывность функцийПределы и непрерывность функций
5,00510
2023-03-222025-10-13СтудИзба
ДЗ 1.2: Пределы и непрерывность функций вариант 27
-62%
Описание
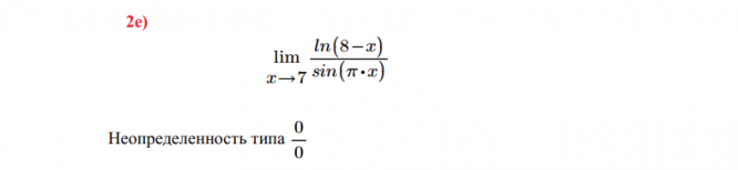
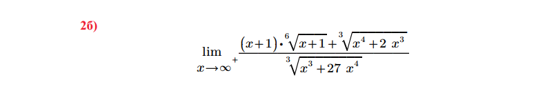
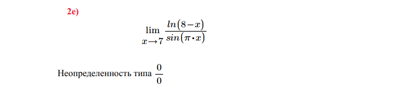
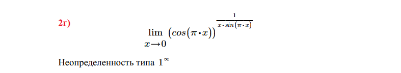
РЕШЕНИЕ ДЗ №2 - ПРЕДЕЛЫ И НЕПРЕРЫВНОСТЬ ФУНКЦИЙ (Фотка на доске в УЛК)
- Пределы вычислены шаг за шагом (Step by step) с подробными объяснениями
- Результаты проверены программой MathCAD Prime
- Решение полного ДЗ (4 задачи)

ДЕМО










ПРЕДЕЛЫ И НЕПРЕРЫВНОСТЬ ФУНКЦИЙ ВАРИАНТ 27.
Характеристики домашнего задания
Предмет
Учебное заведение
Семестр
Номер задания
Вариант
Программы
Просмотров
116
Качество
Идеальное компьютерное
Размер
14,3 Mb
Список файлов
Var 27.jpg
Вариант 27 ИСПРАВЛЕНО.pdf

Если работа Вам была полезна, Пожалуйста, потратьте несколько секунд, чтобы оставить нам 5 ЗВЁЗД и положительный отзывы. Мы Вам глубоко признателены!