Для студентов МГТУ им. Н.Э.Баумана по предмету Математический анализЭлементарные функции и их графикиЭлементарные функции и их графики
5,0051
2023-03-062025-04-09СтудИзба
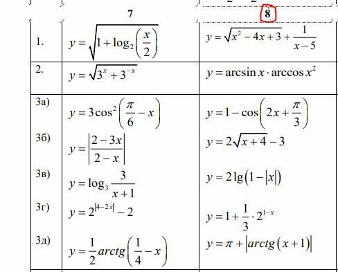
ДЗ 1.1: Элементарные функции и их графики вариант 8
-66%
Описание
Вариант 8 - ДЗ №1 - Элементарные функции и их графики - СМ,ФН,РК4,ФН2
Зачтено на максимальный балл 💥 💥 💥
Спасибо за покупку 🥰🥰🥰 ![]()
Пример решения: 

Характеристики домашнего задания
Предмет
Учебное заведение
Семестр
Номер задания
Вариант
Просмотров
142
Размер
2,42 Mb
Список файлов
Capture.JPG
Вариант 8 - ДЗ №1 - Элементарные функции и их графики - СМ.docx

Друзья, спасибо за доверие! Если вам понравилась работа – поставьте 5⭐ и напишите отзыв. Это поможет другим студентам, а мне даст силы делать ещё больше качественных материалов для вас 🔥