Для студентов МГТУ им. Н.Э.Баумана по предмету Математический анализПределы и непрерывность функцийПределы и непрерывность функций
5,0055
2023-03-022025-04-12СтудИзба
ДЗ 1.2: Пределы и непрерывность функций вариант 5
-66%
Описание
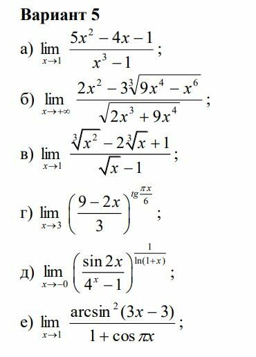
Вариант 5 - ДЗ №2 - Пределы и непрерывность функций - МТ,РК,ИБМ,Э5,ФН1
Зачтено на максимальный балл 💥 💥 💥
Спасибо за покупку 🥰🥰🥰 ![]()
Пример решения: 



Файлы условия, демо
Характеристики домашнего задания
Предмет
Учебное заведение
Семестр
Номер задания
Вариант
Просмотров
168
Размер
68,21 Kb
Список файлов
работа над ошибками ДЗ №2.docx
Вариант 5 - ДЗ №2 - Пределы и непрерывность функций - ФН1.docx

Друзья, спасибо за доверие! Если вам понравилась работа – поставьте 5⭐ и напишите отзыв. Это поможет другим студентам, а мне даст силы делать ещё больше качественных материалов для вас 🔥