Для студентов МГТУ им. Н.Э.Баумана по предмету Математический анализЭлементарные функции и их графикиЭлементарные функции и их графики
5,0052
2023-03-012025-04-09СтудИзба
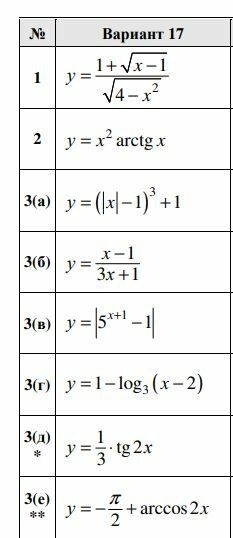
ДЗ 1.1: Элементарные функции и их графики вариант 17
-66%
Описание
Вариант 17 - ДЗ №1 - Элементарные функции и их графики - МТ,РК,ИБМ,Э5,ФН1
Зачтено на максимальный балл 💥 💥 💥
Спасибо за покупку 🥰🥰🥰


Файлы условия, демо
Характеристики домашнего задания
Предмет
Учебное заведение
Семестр
Номер задания
Вариант
Теги
Просмотров
144
Размер
8,59 Mb
Список файлов
Вариант 17 - ДЗ №1 - Элементарные функции и их графики - МТ.pdf

Друзья, спасибо за доверие! Если вам понравилась работа – поставьте 5⭐ и напишите отзыв. Это поможет другим студентам, а мне даст силы делать ещё больше качественных материалов для вас 🔥