Для студентов МГТУ им. Н.Э.Баумана по предмету Математический анализИсследование функций и построение их графиковИсследование функций и построение их графиков
5,0052
2023-02-062025-04-14СтудИзба
ДЗ 3: Исследование функций и построение их графиков вариант 7
Описание
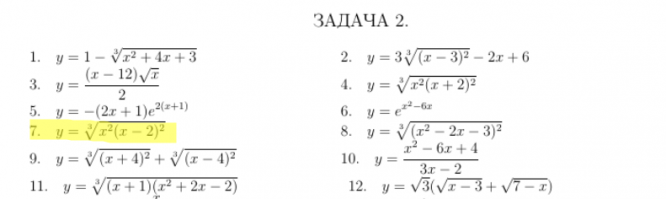
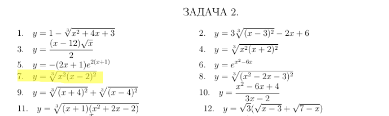
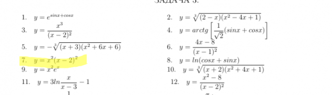
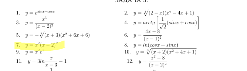
3 типовик по матану для СМ, ИУ10, РК4 ”Исследование функций и построение их графиков” 7 вариант
Показать/скрыть дополнительное описание



Показать/скрыть дополнительное описание
3 типовик по матану для СМ, ИУ10, РК4 ”Исследование функций и построение их графиков” 7 вариант.
Характеристики домашнего задания
Предмет
Учебное заведение
Семестр
Номер задания
Вариант
Просмотров
37
Размер
21,26 Mb
Список файлов
Матан СМ типовое 3.pdf

Буду благодарен вашим отзывам)