Для студентов МГТУ им. Н.Э.Баумана по предмету Математический анализИсследование функций и построение их графиковИсследование функций и построение их графиков
4,97514426
2022-12-042025-04-14СтудИзба
Вариант 7 - ДЗ №3 "Исследование функций"
ДЗ 3: Исследование функций и построение их графиков вариант 7
-43%
Описание
Типовой расчет по математическому анализу №3 "Исследование функций", 3 задачи, зачтено
Задача 1:
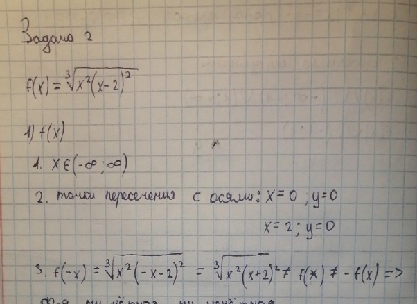
Задача 2:
Задача 3:
Показать/скрыть дополнительное описание
Задача 1:



Домашнее задание по матан МГТУ 1 семестр типовик, пределы, исследование функций, дифференциальное.
Характеристики домашнего задания
Предмет
Учебное заведение
Семестр
Номер задания
Вариант
Просмотров
49
Качество
Фото рукописных листов
Размер
1,98 Mb
Список файлов
Вариант 7 Исслед Функц 45.pdf

Спасибо за покупку! Я буду очень рад, если поставишь справедливую оценку купленному файлу :3 Ищи больше работ в моём профиле, там много нужного тебе!