Для студентов МГТУ им. Н.Э.Баумана по предмету Математический анализЭлементарные функции и их графикиЭлементарные функции и их графики
4,90546853
2022-10-012025-04-16СтудИзба
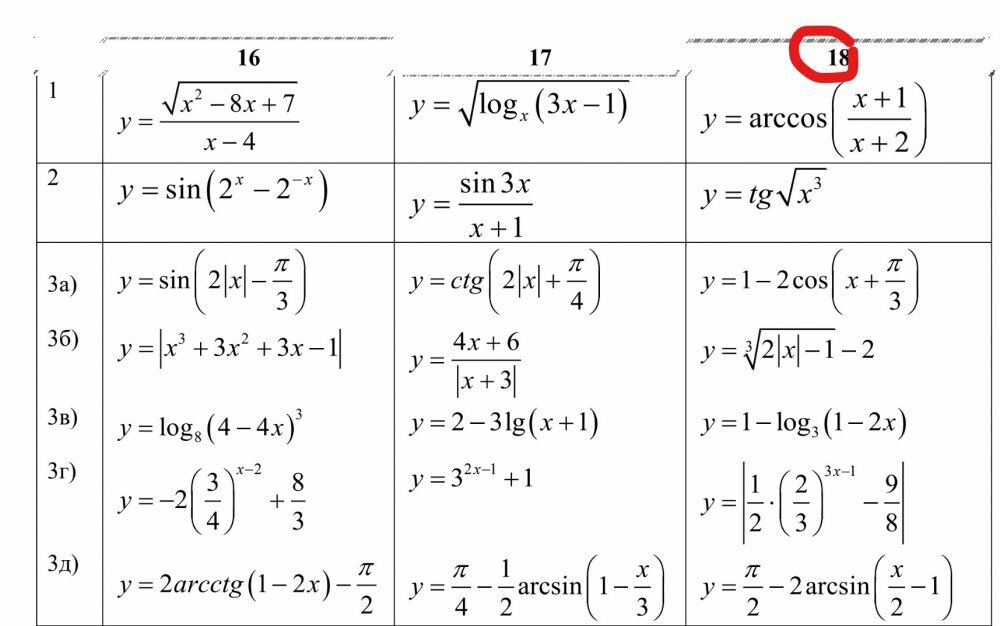
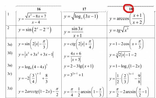
ДЗ 1.1: Элементарные функции и их графики вариант 18
-66%
Описание
Характеристики домашнего задания
Предмет
Учебное заведение
Семестр
Номер задания
Вариант
Просмотров
186
Размер
1,73 Mb
Список файлов
1.jpg
2.jpg
3.jpg

Друзья, спасибо за доверие! Если вам понравилась работа – поставьте 5⭐ и напишите отзыв. Это поможет другим студентам, а мне даст силы делать ещё больше качественных материалов для вас 🔥