Для студентов МГТУ им. Н.Э.Баумана по предмету Математический анализПределы и непрерывность функцийПределы и непрерывность функций
5,0052
2022-03-102025-04-10СтудИзба
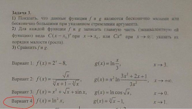
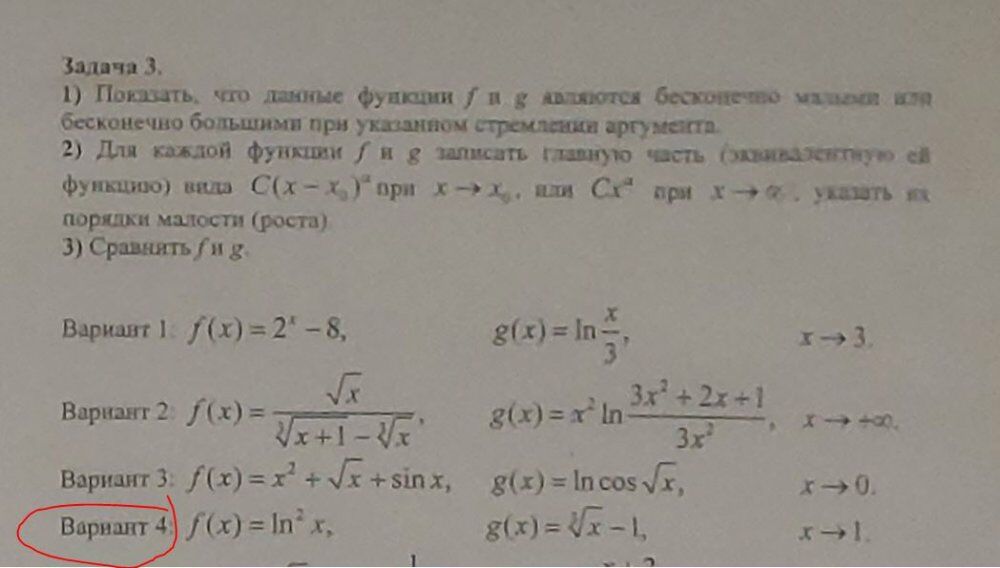
ДЗ 1.2: Пределы и непрерывность функций вариант 4
-66%
Описание
Характеристики домашнего задания
Предмет
Учебное заведение
Семестр
Номер задания
Вариант
Просмотров
191
Размер
1,47 Mb
Список файлов
Вариант 4 - ДЗ №2 - Пределы и непрерывность
1.jpg
2.jpg
3.jpg
4.jpg
5.jpg
6.jpg
7.jpg
10.JPG
11.JPG
12.JPG
13.JPG

Друзья, спасибо за доверие! Если вам понравилась работа – поставьте 5⭐ и напишите отзыв. Это поможет другим студентам, а мне даст силы делать ещё больше качественных материалов для вас 🔥