Для студентов МГТУ им. Н.Э.Баумана по предмету Математический анализЭлементарные функции и их графикиЭлементарные функции и их графики
5,0054
2021-09-222025-04-10СтудИзба
Вариант 10 - ДЗ №1 "Элементарные функции и их графики"
ДЗ 1.1: Элементарные функции и их графики вариант 10
-43%
Описание
Типовой расчет по математическому анализу №3 "Исследование функций", 3 задачи, зачтено
Условие:
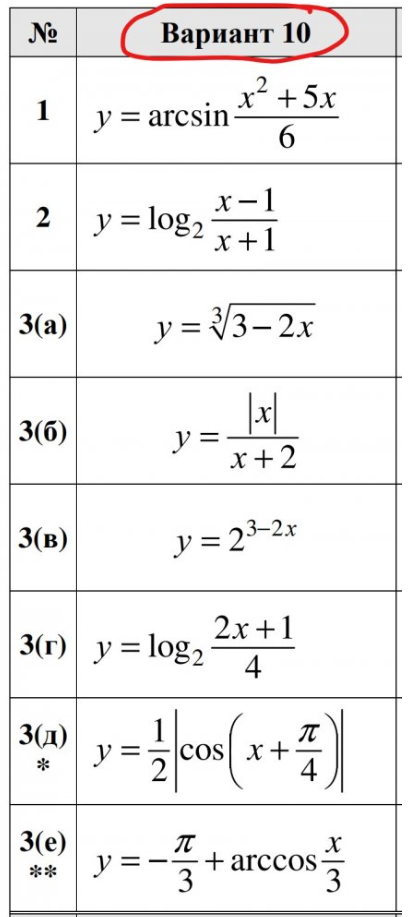
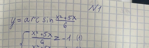
Задача 1:
Задача 2:
Задача 3:
Показать/скрыть дополнительное описание
Условие:









Показать/скрыть дополнительное описание
Домашнее задание по матан МГТУ 1 семестр типовик, пределы, исследование функций, дифференциальное.
Характеристики домашнего задания
Предмет
Учебное заведение
Семестр
Номер задания
Вариант
Теги
Просмотров
41
Качество
Фото рукописных листов
Размер
4,61 Mb
Список файлов
Матан_ Дз-1_ 10 Вар 2.0.docx

Спасибо за покупку! Я буду очень рад, если поставишь справедливую оценку купленному файлу :3 Ищи больше работ в моём профиле, там много нужного тебе!