Для студентов МГТУ им. Н.Э.Баумана по предмету Математический анализПределы и непрерывность функцийПределы и непрерывность функций
5,00518
2018-01-112025-04-12СтудИзба
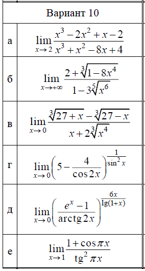
ДЗ 1.2: Пределы и непрерывность функций вариант 10
-51%
Описание
Характеристики домашнего задания
Предмет
Учебное заведение
Семестр
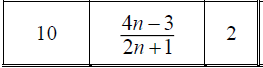
Номер задания
Вариант
Просмотров
2283
Качество
Фото рукописных листов
Размер
2,45 Mb
Список файлов
Пределы и непрерывность функций.pdf

Вам все понравилось? Получите кэшбэк - 40 рублей на Ваш счёт при покупке. Поставьте оценку и напишите положительный комментарий к купленному файлу. После Вы получите деньги на ваш счет.