Для студентов МФПУ «Синергия» по предмету Математический анализОтветы Математический анализОтветы Математический анализ
5,00518
2025-11-212025-11-24СтудИзба
Ответы к экзамену: Ответы Математический анализ
Описание
Ответы к тесту по предмету Математический анализ:
- Вычислите предел по правилу Лопиталя lim┬(x→3)〖(ln(x^2-8)/(x^2-9)〗
- Что называется асимптотой кривой?
- Найдите ∫▒(3x-x^2 )dx
- Найдите первообразную для функции f(x)=∛x+1
- Найдите общее решение уравнения xy^2 dy=(x^3+y^3 )dx
- Найдите общее решение уравнения y" -y=0
- В каком из перечисленных случаев величина называется параметром?
- Найдите общее решение уравнения (3x+2)dy+(y+2)dx=0
- Какую работу совершает сила в 8 Н при растяжении пружины на 6 см?
Список вопросов
Какую работу совершает сила в 8 H при растяжении пружины на 6 см?
В каком из перечисленных случаев величина называется параметром?
Найдите общее решение уравнения xy2dy = (x3 + y3)dx
![]()

Найдите первообразную для функции f(x)=∛x+1
![]()

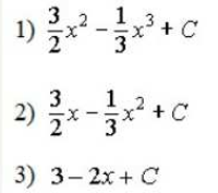
Найдите ∫(3x-x^2 )dx
![]()

Что называется асимптотой кривой?
Характеристики ответов (шпаргалок) к экзамену

❓ Как копировать вопросы во время теста в Синергии?
Комментарии
Нет комментариев
Стань первым, кто что-нибудь напишет!

МФПУ «Синергия» 

















