Для студентов ИДДО НИУ «МЭИ» по предмету Математический анализКурс Математический анализ 2/2 - КМ-9. Кратные интегралы. ТестированиеКурс Математический анализ 2/2 - КМ-9. Кратные интегралы. Тестирование
2025-05-202025-05-20СтудИзба
💼 База ответов к тесту КМ-9. Кратные интегралы (Курс Математический анализ 2/2) 📊
Ответы к заданиям КМ-9: Курс Математический анализ 2/2 - КМ-9. Кратные интегралы. Тестирование
Описание
Курс Математический анализ 2/2 - КМ-9. Кратные интегралы. Тестирование
🔴 Другие тесты | Отдельные ответы по предмету | Помощь со сдачей ⬅️
➡️Любой предмет | Любой тест | Любая практика | ВКР (Диплом)⬅️
🗝️ ▶Помощь с сессией/долгами под ключ ◀ 🗝️
🔴 Другие тесты | Отдельные ответы по предмету | Помощь со сдачей ⬅️

🗝️ ▶Помощь с сессией/долгами под ключ ◀ 🗝️
Список вопросов
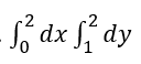
Установить соответствие между интегралом и его значением
![]()



Найти площадь фигуры, ограниченной линиями:
y = 2-x
x = 0
y = 0
y = 2-x
x = 0
y = 0
Установить соответствие между интегралом и его видом
![]()

Двойной интеграл может быть вычислен
1. в декартовых координатах
2. в полярных координатах
3. в сферических координатах
4. в цилиндрических координатах
1. в декартовых координатах
2. в полярных координатах
3. в сферических координатах
4. в цилиндрических координатах
Укажите последовательность вычисления площадь области, ограниченной данными кривыми:
1. расставить пределы в двойном интеграле от функции, равной 1
2. записать ответ
3. изобразить область на координатной плоскости
4. вычислить двойной интеграл
1. расставить пределы в двойном интеграле от функции, равной 1
2. записать ответ
3. изобразить область на координатной плоскости
4. вычислить двойной интеграл
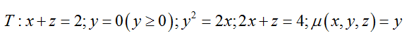
Вычислить массу тела Т, если
![]()

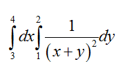
Вычислить двойной интеграл
![]()

Для вычисления площади фигуры с помощью двойного интеграла подинтегральная функция равна ...
Эти вопросы в других коллекциях
Характеристики ответов (шпаргалок) к заданиям
Тип
Коллекция: Ответы (шпаргалки) к заданиям
Предмет
Учебное заведение
Номер задания
Теги
Просмотров
7
Качество
Идеальное компьютерное
Количество вопросов