Для студентов ИДДО НИУ «МЭИ» по предмету Математический анализФункции нескольких переменныхФункции нескольких переменных
2025-05-162025-05-24СтудИзба
Ответы к контрольной работе КМ4: Функции нескольких переменных
Описание
КМ4 Функции нескольких переменных. Тестирование.
83,33% Оценка 4.
Вопросы:
1. Градиент функции f(x,y,z) - вектор, составленный из частных производных функции f какого порядка?
2. Линиями уровня функции z = 2x – 7y – 1 являются
3. Установить соответствие между функциями и их вторыми частными производными
4. Установите соответствие между функцией и ее производной по переменной х
5. Частная производная ∂u/∂x функции u = x^2y^2 + xy^–2 равна:
6.Выберите 3 варианта обозначения частной производной
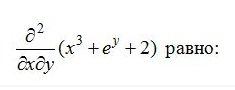
7.
8.
9. Чтобы вычислить производную z''xx функции z = x^2/y в точке (1, 1) необходимо
83,33% Оценка 4.
Вопросы:
1. Градиент функции f(x,y,z) - вектор, составленный из частных производных функции f какого порядка?
2. Линиями уровня функции z = 2x – 7y – 1 являются
3. Установить соответствие между функциями и их вторыми частными производными
4. Установите соответствие между функцией и ее производной по переменной х
5. Частная производная ∂u/∂x функции u = x^2y^2 + xy^–2 равна:
6.Выберите 3 варианта обозначения частной производной
7.
8.
9. Чтобы вычислить производную z''xx функции z = x^2/y в точке (1, 1) необходимо
Файлы условия, демо
Screenshot 2025-05-16 123151.png
Screenshot 2025-05-16 123225.png
Screenshot 2025-05-16 123237.png
Screenshot 2025-05-16 123247.png
Screenshot 2025-05-16 123256.png
Screenshot 2025-05-16 123306.png
Screenshot 2025-05-16 123316.png
Screenshot 2025-05-16 123405.png
Screenshot 2025-05-16 123515.png
Screenshot 2025-05-16 123548.png
Характеристики ответов (шпаргалок) к КР
Тип
Коллекция: Ответы (шпаргалки) к контрольной работе
Предмет
Учебное заведение
Семестр
Номер задания
Просмотров
8
Количество вопросов
ИДДО НИУ «МЭИ» 


















