Для студентов ИДДО НИУ «МЭИ» по предмету Математический анализКурс Математический анализ - КМ-10. Векторный анализ. ТестированиеКурс Математический анализ - КМ-10. Векторный анализ. Тестирование
5,0051
2024-12-16СтудИзба

💼 База ответов к тесту КМ-10. Векторный анализ. Тестирование (Курс Математический анализ) 📊

Ответы к заданиям КМ-10: Курс Математический анализ - КМ-10. Векторный анализ. Тестирование

Описание

Курс Математический анализ 2/2 - КМ-10. Векторный анализ. Тестирование
🔴 Другие тесты и КМ по этому предмету 💯
➡️ Помощь со сдачей ⬅️

Показать/скрыть дополнительное описание

коллекция ответов на тест КМ-10 векторный анализ, скачать коллекцию решений по математическому анализу 2/2, готовые ответы для теста векторный анализ НИУ МЭИ, сдача теста КМ-10 для студентов заочного отделения, коллекция тестов по математическому анализу, помощь с задачами по векторному анализу для студентов НИУ МЭИ, сдача контрольного задания КМ-10 по математическому анализу, где найти коллекцию ответов на тест векторный анализ, ответы на задачи для контрольного модуля 10, коллекция тестов по математическому анализу 2/2, сдача контрольного модуля векторный анализ НИУ МЭИ, готовая коллекция решений для теста по математическому анализу, помощь с тестами по математическому анализу НИУ МЭИ..

Список вопросов

Вычислить циркуляцию векторного поля по контуру L:x+y=1; x=0; y=0 , применяя формулу Грина
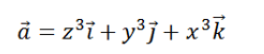
a=z3t+y3j+x3k
Ответы:
Найти поток векторного поля
через внешнюю сторону боковой поверхности кругового цилиндра
ограниченную плоскостями z=0 и z=3
Вычислить работу силового поля вдоль дуги окружности
от M (1,0) до N (0,1) в направлении против часовой стрелки
Является ли поле соленоидальным?

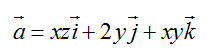
a=3y'i-x2j-(y2+2x)k
Вычислить циркуляцию векторного поля
по контуру
применяя формулу Грина
Является ли поле
потенциальным?
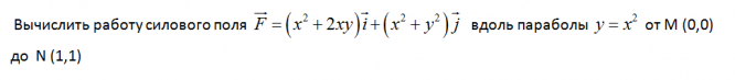
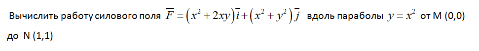
Вычислить работу силового поля вдоль параболы от M(0,0) до N(1,1)
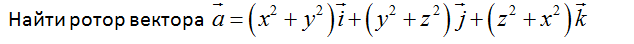
Найти ротор вектора a = (x2+y2)i+(y2+z2)j+(z2+x2)k
📢 Есть вопросы или нужна помощь? Не знаете, как оформить заказ или оплатить?
👉 Просто нажмите кнопку Написать эксперту — я сразу отвечу, помогу разобраться и оформить всё за вас. 💬
🔥 Быстро. Удобно. Без лишних сложностей!

Характеристики ответов (шпаргалок) к заданиям

Учебное заведение
Номер задания
Теги
Просмотров
36
Качество
Идеальное компьютерное
Количество вопросов

Преподаватели

Картинка-подпись
Гарантия сдачи без лишних хлопот! ✅🎓 Ответы на тесты по любым дисциплинам, базы вопросов, работы и услуги для Синергии, МЭИ и других вузов – всё уже готово! 🚀 🎯📚 Гарантия качества – или возврат денег! 💰✅

Комментарии

Нет комментариев
Стань первым, кто что-нибудь напишет!
Поделитесь ссылкой:
Базовая цена: 349 руб.
Помощь со сдачей теста Услуга за 890 руб.
Расширенная гарантия +3 недели гарантии, +10% цены
Рейтинг покупателей
5 из 5
Поделитесь ссылкой:
Сопутствующие материалы

Подобрали для Вас услуги

Вы можете использовать полученные ответы для подготовки к экзамену в учебном заведении и других целях, не нарушающих законодательство РФ и устав Вашего учебного заведения.
Свежие статьи
Популярно сейчас
Почему делать на заказ в разы дороже, чем купить готовую учебную работу на СтудИзбе? Наши учебные работы продаются каждый год, тогда как большинство заказов выполняются с нуля. Найдите подходящий учебный материал на СтудИзбе!
Ответы на популярные вопросы
Да! Наши авторы собирают и выкладывают те работы, которые сдаются в Вашем учебном заведении ежегодно и уже проверены преподавателями.
Да! У нас любой человек может выложить любую учебную работу и зарабатывать на её продажах! Но каждый учебный материал публикуется только после тщательной проверки администрацией.
Вернём деньги! А если быть более точными, то автору даётся немного времени на исправление, а если не исправит или выйдет время, то вернём деньги в полном объёме!
Да! На равне с готовыми студенческими работами у нас продаются услуги. Цены на услуги видны сразу, то есть Вам нужно только указать параметры и сразу можно оплачивать.
Отзывы студентов
Ставлю 10/10
Все нравится, очень удобный сайт, помогает в учебе. Кроме этого, можно заработать самому, выставляя готовые учебные материалы на продажу здесь. Рейтинги и отзывы на преподавателей очень помогают сориентироваться в начале нового семестра. Спасибо за такую функцию. Ставлю максимальную оценку.
Лучшая платформа для успешной сдачи сессии
Познакомился со СтудИзбой благодаря своему другу, очень нравится интерфейс, количество доступных файлов, цена, в общем, все прекрасно. Даже сам продаю какие-то свои работы.
Студизба ван лав ❤
Очень офигенный сайт для студентов. Много полезных учебных материалов. Пользуюсь студизбой с октября 2021 года. Серьёзных нареканий нет. Хотелось бы, что бы ввели подписочную модель и сделали материалы дешевле 300 рублей в рамках подписки бесплатными.
Отличный сайт
Лично меня всё устраивает - и покупка, и продажа; и цены, и возможность предпросмотра куска файла, и обилие бесплатных файлов (в подборках по авторам, читай, ВУЗам и факультетам). Есть определённые баги, но всё решаемо, да и администраторы реагируют в течение суток.
Маленький отзыв о большом помощнике!
Студизба спасает в те моменты, когда сроки горят, а работ накопилось достаточно. Довольно удобный сайт с простой навигацией и огромным количеством материалов.
Студ. Изба как крупнейший сборник работ для студентов
Тут дофига бывает всего полезного. Печально, что бывают предметы по которым даже одного бесплатного решения нет, но это скорее вопрос к студентам. В остальном всё здорово.
Спасательный островок
Если уже не успеваешь разобраться или застрял на каком-то задание поможет тебе быстро и недорого решить твою проблему.
Всё и так отлично
Всё очень удобно. Особенно круто, что есть система бонусов и можно выводить остатки денег. Очень много качественных бесплатных файлов.
Отзыв о системе "Студизба"
Отличная платформа для распространения работ, востребованных студентами. Хорошо налаженная и качественная работа сайта, огромная база заданий и аудитория.
Отличный помощник
Отличный сайт с кучей полезных файлов, позволяющий найти много методичек / учебников / отзывов о вузах и преподователях.
Отлично помогает студентам в любой момент для решения трудных и незамедлительных задач
Хотелось бы больше конкретной информации о преподавателях. А так в принципе хороший сайт, всегда им пользуюсь и ни разу не было желания прекратить. Хороший сайт для помощи студентам, удобный и приятный интерфейс. Из недостатков можно выделить только отсутствия небольшого количества файлов.
Спасибо за шикарный сайт
Великолепный сайт на котором студент за не большие деньги может найти помощь с дз, проектами курсовыми, лабораторными, а также узнать отзывы на преподавателей и бесплатно скачать пособия.
Популярные преподаватели
Добавляйте материалы
и зарабатывайте!
Продажи идут автоматически
6877
Авторов
на СтудИзбе
270
Средний доход
с одного платного файла
Обучение Подробнее