ДЗ: Радиотехнические расчеты в среде MathCad

Описание

Содержание
1 Комплексные числа 3
2 Построение графиков. Символьные преобразования 4
3 Анализ систем уравнений 11
4 Спектральный анализ 19
5 Численные методы 23


Задание 1. В таблице 2.2 заданы два комплексных числа – первое число в нормальной форме, а второе в экспоненциальной. Согласно своему варианту средствами MathCAD для первого числа найдите модуль и аргумент в градусах, а второе число переведите в нормальную форму по соотношениям. Сложите, вычтите, умножьте и поделите два числа представленных в нормальной форме.
Задание 1. Согласно своему варианту задания (таблица 2.3) определите функцию f(x) на интервале x[2; 12] с шагом 0.5, вычислить ее значение при x=2.9 и построить таблицу значений и график функции.
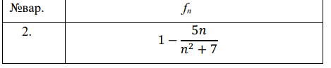
Задание 2. Согласно своему варианту задания (таблица 2.4) определите функцию fn в виде вектора ее значений при изменении индекса n[0; 12]. Постройте таблицу значений функции и ее график
Задание 3. Согласно своему варианту задания (таблица 2.5) определите кусочно-непрерывную функцию f(x) на заданном интервале значений, используя функцию if. Построить график полученной функции.
Задание 1. Упростите приведенные в таблицах 3.1 – 3.5 выражения с использованием функций simplify, еxpand, factor, collect и parfrac
Задание 2. Средствами MathCAD вычислите предел функции f(x) в точке x → 0 и найдите ее производную.
Задание 3. Средствами MathCAD найдите первообразную функции f(x), приведенную в таблице 3.7.
Задание 4. Вычислить определенный интеграл от функции f(x), приведенной в таблице 3.8 в заданных пределах [a, b].
Задание 5. Рассчитайте значение восьмого члена ряда и сумму первых десяти членов ряда, общий член которого приведен в таблице 3.9.
Матрицы: Даны три матрицы А, B, C и два вектора d и f (таблица 5.1). Средствами MathCAD: 1) задайте в рабочем документе матрицы и вектора; рассчитайте: 2) А + B, А – B; 3) 3  C, 5 + В; 4) АB, BА, AC и ААT ; 5) сформируйте единичную матрицу 3-го и 5-го порядков; 6) из векторов D и F получите диагональные матрицы; вычислите: 7) Sp(A), Sp(B); 8) det(A), det(B); 9) А -1 и B -1 и проверьте правильность нахождения обратных матриц; 10) А 0 , B 0 , А -2 , B -2 , А 2 , B 2 , А -3 , B -3 ; 11) rank(A), rank(B); 12) 5  d, –2 + f; 13) d + f, d – f; 14) скалярное и внешнее произведение векторов d и f; 15) Cd, Cf; 16) ||d||, ||f||; 17) угол между векторами d и f; 18) найдите векторное произведение элементов первых столбцов матриц A и B;
Системы уравнений:
Задание 1. Первую систему уравнений решить методами обратной матрицы, Крамера, с использованием функции lsolve и вычислительного блока Given / Find
Задание 2. Решить вторую систему уравнений - недоопределенную систему с помощью вычислительного блока Given / Find относительно переменных x1, x2, x3, x4.
Задание 1. Вычислить первые шесть пар коэффициентов разложения в ряд Фурье функции f(t) на отрезке [0, 2π]. Построить графики 1, 2 и 3 гармоник. Выполнить гармонический синтез функции f(t) по 1, 2 и 3 гармоникам. Результаты синтеза отобразить графически
адание 2. Выполнить классический спектральный анализ и синтез функции f(t). Отобразить графически спектры амплитуд и фаз, результат спектрального синтеза функции f(t).
Задание 3. Выполнить численный спектральный анализ и синтез функции f(t). Для этого необходимо задать исходную функцию f(t) дискретно в 32 отсчетах. Отобразить графически спектры амплитуд и фаз, результат спектрального синтеза функции f(t).
Задание 4. Выполнить спектральный анализ и синтез функции f(t) с помощью БПФ. Для этого необходимо: • задать исходную функцию f(t) дискретно в 128 отсчетах; • выполнить прямое БПФ с помощью функции fft и отобразить графически найденные спектры амплитуд и фаз первых шести гармоник; • выполнить обратное БПФ с помощью функции ifft и отобразить графически результат спектрального синтеза функции f(t).
5. Численные методы Задание 1. Определить функцию f(x) таблично, вычислив значения уi = f(xi) в точках хi = a + h i, i = 0, 1, ..., 8, h = (b - a)/8 на отрезке [a, b].
Задание 2. Вычислить интеграл ∫ 𝑓(𝑥)𝑑𝑥 𝑏 𝑎 : • с помощью встроенного оператора интегрирования; • по формуле прямоугольников; • по формуле Симпсона; • с помощью встроенного оператора интегрирования и интерполяцией табличной функции кубическим сплайном (функции cspline и interp); • методом неопределенных коэффициентов для численного интегрирования.
Задание 3. Вычислить интеграл ∫ 𝑓(𝑥)𝑑𝑥 𝑏 𝑎 методом Монте-Карло. Для этого необходимо: • определить диапазон случайных чисел, например j: = 0..1000; • определить с помощью функции rnd равномерно распределенную случайную величину h j на отрезке интегрирования [a, b]; • создать вектор Fj = f(h j); • с помощью функции mean вычислить интеграл.
Задание 4. Найти первообразную аналитически заданной функции f(x), используя команду Symbolic  Integrate on Variable.

Задание 5. Вычислить значения первой и второй производных функции f(x) в точке Х = с: • с помощью операторов дифференцирования Mathcad; • методом неопределенных коэффициентов для численного дифференцирования. Определить функцию f(x) таблично, вычислив значения уi = f(xi) в точках хi = с + h? i, i = 0, 1, ..., 10, h = 0.01 на отрезке [c, d].
Задание 6. Определить символьное значение первой и второй производных f(x), используя команду Symbolic  Differentiate on Variable.

Характеристики домашнего задания

Учебное заведение
Просмотров
2
Качество
Идеальное компьютерное
Размер
801,4 Kb

Список файлов

kontrolnaya_rabota_alexeeva_t_i_mmvrr.pdf
Картинка-подпись
Если нужен другой вариант работы или отдельная задача из любой работы, пишите в комментарии

Комментарии

Нет комментариев
Стань первым, кто что-нибудь напишет!
Поделитесь ссылкой:
Цена: 500 руб.
Расширенная гарантия +3 недели гарантии, +10% цены
Рейтинг автора
5 из 5
Поделитесь ссылкой:
Сопутствующие материалы

Подобрали для Вас услуги

-13%
Вы можете использовать домашнюю работу для примера, а также можете ссылаться на неё в своей работе. Авторство принадлежит автору работы, поэтому запрещено копировать текст из этой работы для любой публикации, в том числе в свою домашнюю работу в учебном заведении, без правильно оформленной ссылки. Читайте как правильно публиковать ссылки в своей работе.
Свежие статьи
Популярно сейчас
Почему делать на заказ в разы дороже, чем купить готовую учебную работу на СтудИзбе? Наши учебные работы продаются каждый год, тогда как большинство заказов выполняются с нуля. Найдите подходящий учебный материал на СтудИзбе!
Ответы на популярные вопросы
Да! Наши авторы собирают и выкладывают те работы, которые сдаются в Вашем учебном заведении ежегодно и уже проверены преподавателями.
Да! У нас любой человек может выложить любую учебную работу и зарабатывать на её продажах! Но каждый учебный материал публикуется только после тщательной проверки администрацией.
Вернём деньги! А если быть более точными, то автору даётся немного времени на исправление, а если не исправит или выйдет время, то вернём деньги в полном объёме!
Да! На равне с готовыми студенческими работами у нас продаются услуги. Цены на услуги видны сразу, то есть Вам нужно только указать параметры и сразу можно оплачивать.
Отзывы студентов
Ставлю 10/10
Все нравится, очень удобный сайт, помогает в учебе. Кроме этого, можно заработать самому, выставляя готовые учебные материалы на продажу здесь. Рейтинги и отзывы на преподавателей очень помогают сориентироваться в начале нового семестра. Спасибо за такую функцию. Ставлю максимальную оценку.
Лучшая платформа для успешной сдачи сессии
Познакомился со СтудИзбой благодаря своему другу, очень нравится интерфейс, количество доступных файлов, цена, в общем, все прекрасно. Даже сам продаю какие-то свои работы.
Студизба ван лав ❤
Очень офигенный сайт для студентов. Много полезных учебных материалов. Пользуюсь студизбой с октября 2021 года. Серьёзных нареканий нет. Хотелось бы, что бы ввели подписочную модель и сделали материалы дешевле 300 рублей в рамках подписки бесплатными.
Отличный сайт
Лично меня всё устраивает - и покупка, и продажа; и цены, и возможность предпросмотра куска файла, и обилие бесплатных файлов (в подборках по авторам, читай, ВУЗам и факультетам). Есть определённые баги, но всё решаемо, да и администраторы реагируют в течение суток.
Маленький отзыв о большом помощнике!
Студизба спасает в те моменты, когда сроки горят, а работ накопилось достаточно. Довольно удобный сайт с простой навигацией и огромным количеством материалов.
Студ. Изба как крупнейший сборник работ для студентов
Тут дофига бывает всего полезного. Печально, что бывают предметы по которым даже одного бесплатного решения нет, но это скорее вопрос к студентам. В остальном всё здорово.
Спасательный островок
Если уже не успеваешь разобраться или застрял на каком-то задание поможет тебе быстро и недорого решить твою проблему.
Всё и так отлично
Всё очень удобно. Особенно круто, что есть система бонусов и можно выводить остатки денег. Очень много качественных бесплатных файлов.
Отзыв о системе "Студизба"
Отличная платформа для распространения работ, востребованных студентами. Хорошо налаженная и качественная работа сайта, огромная база заданий и аудитория.
Отличный помощник
Отличный сайт с кучей полезных файлов, позволяющий найти много методичек / учебников / отзывов о вузах и преподователях.
Отлично помогает студентам в любой момент для решения трудных и незамедлительных задач
Хотелось бы больше конкретной информации о преподавателях. А так в принципе хороший сайт, всегда им пользуюсь и ни разу не было желания прекратить. Хороший сайт для помощи студентам, удобный и приятный интерфейс. Из недостатков можно выделить только отсутствия небольшого количества файлов.
Спасибо за шикарный сайт
Великолепный сайт на котором студент за не большие деньги может найти помощь с дз, проектами курсовыми, лабораторными, а также узнать отзывы на преподавателей и бесплатно скачать пособия.
Популярные преподаватели
Добавляйте материалы
и зарабатывайте!
Продажи идут автоматически
7239
Авторов
на СтудИзбе
247
Средний доход
с одного платного файла
Обучение Подробнее