Для студентов по предмету Математическая статистикаЗадана непрерывная случайная величина X функцией распределения F(x). Требуется: 1) найти плотность распределения вероятностей f(x); 2) схематично поЗадана непрерывная случайная величина X функцией распределения F(x). Требуется: 1) найти плотность распределения вероятностей f(x); 2) схематично по
5,0051
2022-11-072022-11-07СтудИзба
Задана непрерывная случайная величина X функцией распределения F(x). Требуется: 1) найти плотность распределения вероятностей f(x); 2) схематично построить графики функций f(x) и F(x); 3) найти математическое ожидание, дисперсию и среднеквадратичес
Описание
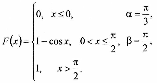
Задана непрерывная случайная величина X функцией распределения F(x). Требуется:
1) найти плотность распределения вероятностей f(x);
2) схематично построить графики функций f(x) и F(x);
3) найти математическое ожидание, дисперсию и среднеквадратическое отклонение случайной величины X;
4) найти вероятность того, что X примет значение из интервала (а, b).
Характеристики решённой задачи
Предмет
Номер задания
Просмотров
13
Качество
Скан рукописных листов
Размер
2,71 Mb
Список файлов
1.jpg
1.1.jpg
