Для студентов МГТУ им. Н.Э.Баумана по предмету Линейная алгебра и аналитическая геометрияЛинейная алгебраЛинейная алгебра
5,0056
2025-03-042025-08-07СтудИзба
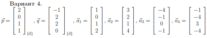
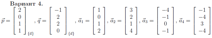
ДЗ 1.1: Линейная алгебра вариант 4
-51%
Описание

- 1) Применяя процесс ортогонализации, ортонормировать базис {аi} (полученный базис - {bi})
- 2) Найти матрицу перехода от полученного ортонормированного базиса {bi}, к исходному базису {аi}, (T bj->ai)
- З) Найти координаты p и q в этом ортонормированном базисе
- 4) Вычислить скалярное произведение (p,q)
- 5) Вычислить угол между векторами p и q
Характеристики домашнего задания
Учебное заведение
Семестр
Номер задания
Вариант
Программы
Просмотров
93
Качество
Идеальное компьютерное
Размер
1,5 Mb
Список файлов
Линейная алгебра.pdf
Линейная алгебра - 1.pdf

Вам все понравилось? Получите кэшбэк - 40 рублей на Ваш счёт при покупке. Поставьте оценку и напишите положительный комментарий к купленному файлу. После Вы получите деньги на ваш счет.