Для студентов МГТУ им. Н.Э.Баумана по предмету Линейная алгебра и аналитическая геометрияКривые второго порядкаКривые второго порядка
4,985245
2025-02-032025-05-19СтудИзба
ДЗ 2.1: Кривые второго порядка вариант 13
-50%
Описание
Условие ДЗ:
Задачи №1-4:
Определить тип кривой, привести к каноническому виду и построить кривую, найти координаты фокусов. Для эллипса и гиперболы найти эксцентриситет, для гиперболы составить уравнение асимптот; для параболы найти значение параметра, составить уравнение директрисы.
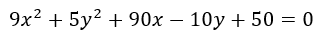
Задача №1:
![]()
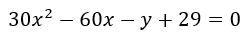
Задача №2:
![]()
Задача №3:
![]()
Задача №4:
![]()
Задача №5:
![]()
Задача №6:
![]()
Задачи №1-4:
Определить тип кривой, привести к каноническому виду и построить кривую, найти координаты фокусов. Для эллипса и гиперболы найти эксцентриситет, для гиперболы составить уравнение асимптот; для параболы найти значение параметра, составить уравнение директрисы.
Задача №1:

Задача №2:

Задача №3:

Задача №4:

Задача №5:

Задача №6:

Характеристики домашнего задания
Учебное заведение
Семестр
Номер задания
Вариант
Просмотров
15
Качество
Идеальное компьютерное
Размер
1,37 Mb
Преподаватели
Список файлов
АГ ДЗ2 (1 сем).docx
Если тебе помогла данная работа, поставь оценку ❤️
МГТУ им. Н.Э.Баумана
bomonec


















