Для студентов МГТУ им. Н.Э.Баумана по предмету Линейная алгебра и аналитическая геометрияВекторная алгебра и аналитическая геометрияВекторная алгебра и аналитическая геометрия
4,985248
2025-02-032025-05-19СтудИзба
ДЗ 1: Векторная алгебра и аналитическая геометрия вариант 13
-50%
Описание
Условие ДЗ:
Задача №1:![]()
Задача №2:![]()
Задача №3:![]()
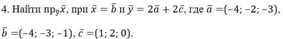
Задача №4:
![]()
Задача №5:
![]()
Задача №6:
![]()
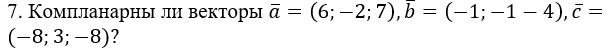
Задача №7:
![]()
Задача №8:
![]()
Задача №9:
![]()
Задача №10:
![]()
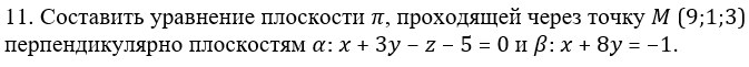
Задача №11:
![]()
Задача №12:
![]()
Задача №13:
![]()
Задача №14:
![]()
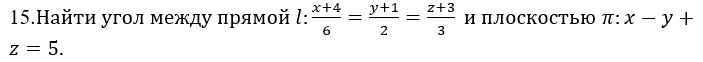
Задача №15:
![]()
Задача №1:
Задача №2:
Задача №3:
Задача №4:

Задача №5:
Задача №6:
Задача №7:

Задача №8:

Задача №9:
Задача №10:
Задача №11:
Задача №12:
Задача №13:

Задача №14:

Задача №15:
Характеристики домашнего задания
Учебное заведение
Семестр
Номер задания
Вариант
Теги
Просмотров
22
Качество
Идеальное компьютерное
Размер
602,44 Kb
Преподаватели
Список файлов
АГ ДЗ1 (1 сем).docx
Если тебе помогла данная работа, поставь оценку ❤️
МГТУ им. Н.Э.Баумана
bomonec

















