Для студентов МГТУ им. Н.Э.Баумана по предмету Линейная алгебра и аналитическая геометрияФункции нескольких переменныхФункции нескольких переменных
5,0051
2024-07-212025-05-27СтудИзба
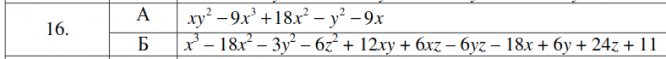
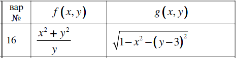
ДЗ 2: Функции нескольких переменных вариант 16
Описание
Файлы условия, демо
Характеристики домашнего задания
Учебное заведение
Семестр
Номер задания
Вариант
Просмотров
40
Качество
Фото рукописных листов
Размер
4,41 Mb
Список файлов
Домашнее задание №2 «ФНП».pdf


МГТУ им. Н.Э.Баумана
__Pomogator__


















