Для студентов МГТУ им. Н.Э.Баумана по предмету ФизикаЭлектромагнитная индукция + Электромагнитные волныЭлектромагнитная индукция + Электромагнитные волны
5,0057
2023-11-232023-11-23СтудИзба
ДЗ 2: Электромагнитная индукция + Электромагнитные волны вариант 11
Описание
Задача №3 и №4 "Электромагнитная индукция + Электромагнитные волны" по физике для 3 семестра 11 варианта
- Полностью правильная (зачтено на максимальный балл)
- Подробное решение
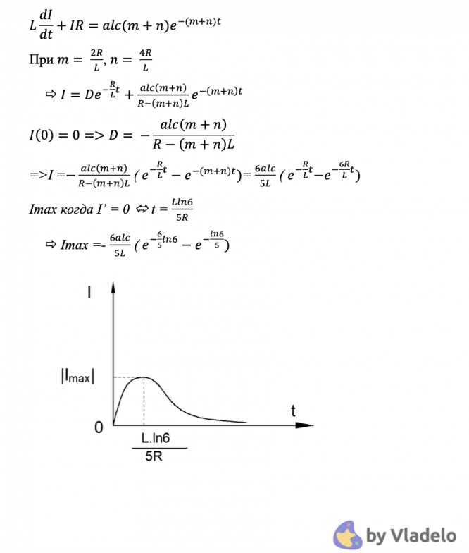
Электромагнитная индукция:



Электромагнитные волны:



Характеристики домашнего задания
Предмет
Учебное заведение
Семестр
Номер задания
Вариант
Просмотров
76
Качество
Идеальное компьютерное
Размер
1,96 Mb
Список файлов
Электромагнитная индукция11.pdf
Электромагнитные волны11.pdf

Vladelo