Для студентов МГТУ им. Н.Э.Баумана по предмету Линейная алгебра и аналитическая геометрияФункции нескольких переменныхФункции нескольких переменных
5,00574
2023-05-282025-05-22СтудИзба
Вариант 5 - ДЗ №2 "Функции нескольких переменных - 6 Задач
ДЗ 2: Функции нескольких переменных вариант 5
-43%
Описание
Второй типовой расчет по линейной алгебре, ФНП, 6 задач, зачтено на максимальный балл.
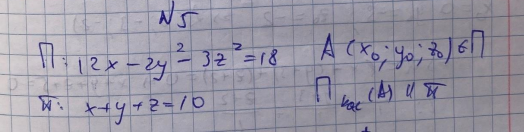
Задача 1:
Задача 2:
Задача 3:
Задача 4:
Задача 5:
Задача 6:
Показать/скрыть дополнительное описание
Задача 1:








Типовой расчет по линейной алгебре МГТУ.
Характеристики домашнего задания
Учебное заведение
Семестр
Номер задания
Вариант
Просмотров
115
Качество
Фото рукописных листов
Размер
3,48 Mb
Список файлов
Вариант 5 ФНП 2 384.pdf

Спасибо за покупку! Я буду очень рад, если поставишь справедливую оценку купленному файлу :3 Ищи больше работ в моём профиле, там много нужного тебе!
Комментарии

не советую брать

Отзыв
6 а не решен и в 5 не полный ответ

Отзыв
Много ошибок

Отзыв
местами невнятный почерк и недоделанные задания (6а например)