Для студентов МПУ по предмету Линейная алгебра и аналитическая геометрияТема 1 "Элементы линейной алгебры" - Практикум №3 "Обратная матрица, ранг матрицы"Тема 1 "Элементы линейной алгебры" - Практикум №3 "Обратная матрица, ранг матрицы"
4,97514432
2023-01-262024-09-05СтудИзба
ДЗ 3: Тема 1 "Элементы линейной алгебры" - Практикум №3 "Обратная матрица, ранг матрицы"
-43%
Описание
Зачтенный Практикум №3 по Линейной и векторной алгебре.
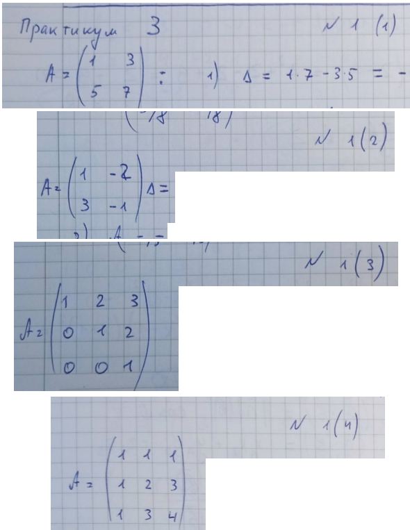
Задача 1:
Задача 2:
Задача 3:
Задача 4:
Задача 5:
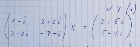
Задача 7:
Показать/скрыть дополнительное описание
Задача 1:















Политех математика практикум.
Характеристики домашнего задания
Учебное заведение
Номер задания
Просмотров
11
Качество
Фото рукописных листов
Размер
9,75 Mb
Список файлов
РГР 3.pdf

Спасибо за покупку! Я буду очень рад, если поставишь справедливую оценку купленному файлу :3 Ищи больше работ в моём профиле, там много нужного тебе!