Для студентов МПУ по предмету Линейная алгебра и аналитическая геометрияТема 1 "Элементы линейной алгебры" - Практикум №1 "Матрицы. Операции над матрицами"Тема 1 "Элементы линейной алгебры" - Практикум №1 "Матрицы. Операции над матрицами"
4,97514437
2023-01-262024-09-05СтудИзба
ДЗ 1: Тема 1 "Элементы линейной алгебры" - Практикум №1 "Матрицы. Операции над матрицами"
-43%
Описание
Зачтенный Практикум №1 по Линейной и векторной алгебре.
Задача 1:
Задача 2:
Задача 4:
Задача 5:
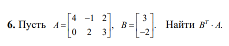
Задача 6:
Задача 7:
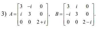
Задача 11:
Задача 13:
Показать/скрыть дополнительное описание
Задача 1:













Задача 7:













Политех математика практикум.
Характеристики домашнего задания
Учебное заведение
Номер задания
Просмотров
14
Качество
Идеальное компьютерное
Размер
7,81 Mb
Список файлов
РГР 1.pdf

Спасибо за покупку! Я буду очень рад, если поставишь справедливую оценку купленному файлу :3 Ищи больше работ в моём профиле, там много нужного тебе!